

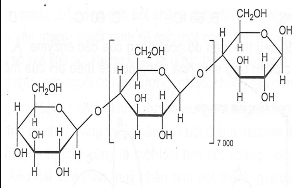
Đây là cellulose hay amylose ạ
Hãy luôn nhớ cảm ơn và vote 5*
nếu câu trả lời hữu ích nhé!
Đáp án: Cellulose
Giải thích:
1. Trong ảnh cho thấy sự khác nhau giữa cellulose và amylose
2. Trong ảnh câu hỏi, oxy nối giữa vòng glucose nằm cùng hướng xuống dưới → đó là liên kết β-1,4 đặc trưng của cellulose
+ Còn α-1,4 của amylose sẽ có oxy nối giữa vòng glucose hướng sẽ xen kẽ lên xuống
`@p ico`
Hãy giúp mọi người biết câu trả lời này thế nào?
Nhận xét:
Các phân tử mắt xích là `beta-`glucose được liên kết với nhau bởi liên kết `1,4-`glucoside
`=>` Đây là cellulose
Hãy giúp mọi người biết câu trả lời này thế nào?
Bảng tin