Vui lòng chỉ chọn một câu hỏi
Hoidap247.com Nhanh chóng, chính xác
+
Danh mục mới
497
1
495
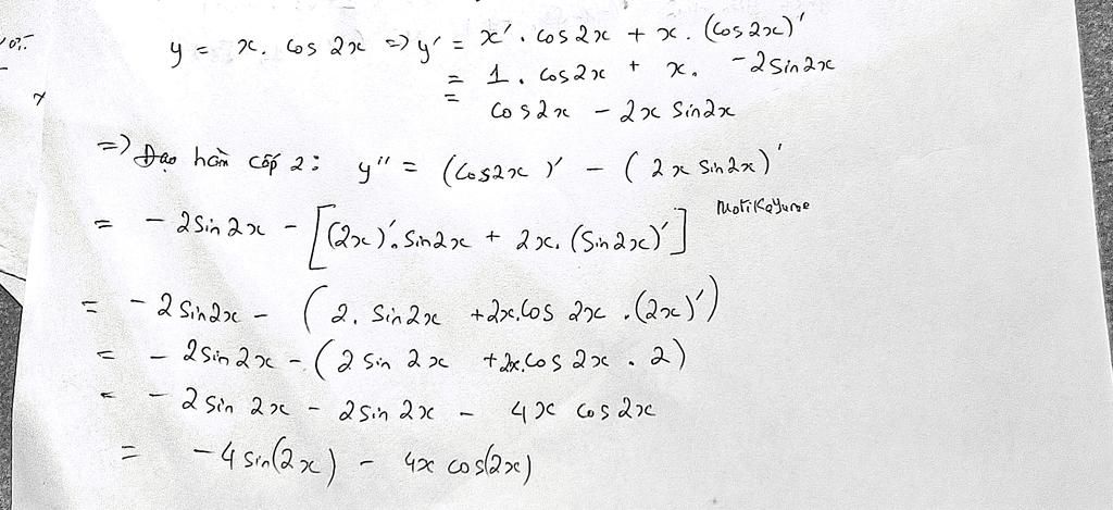
Tìm đạo hàm cấp 2 của hàm số sau
y=x . cos2x
Hãy luôn nhớ cảm ơn và vote 5* nếu câu trả lời hữu ích nhé!
4006
81474
4933
Giải thích các bước giải:
`y=xcos2x`
`->y'=cos 2x-2xsin2x`
`->y''=-2sin2x-(2sin2x+2x.2cos2x)`
`=-4sin2x-4xcos2x`
Hãy giúp mọi người biết câu trả lời này thế nào?
319
308
240
Đáp án:
Bảng tin
Gửi yêu cầu Hủy