Đăng nhập để hỏi chi tiết


Giúp mình với ạ cảm ơn tất cả mn nhiều ạ
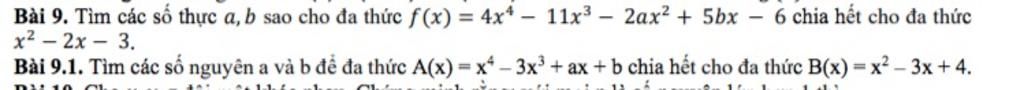
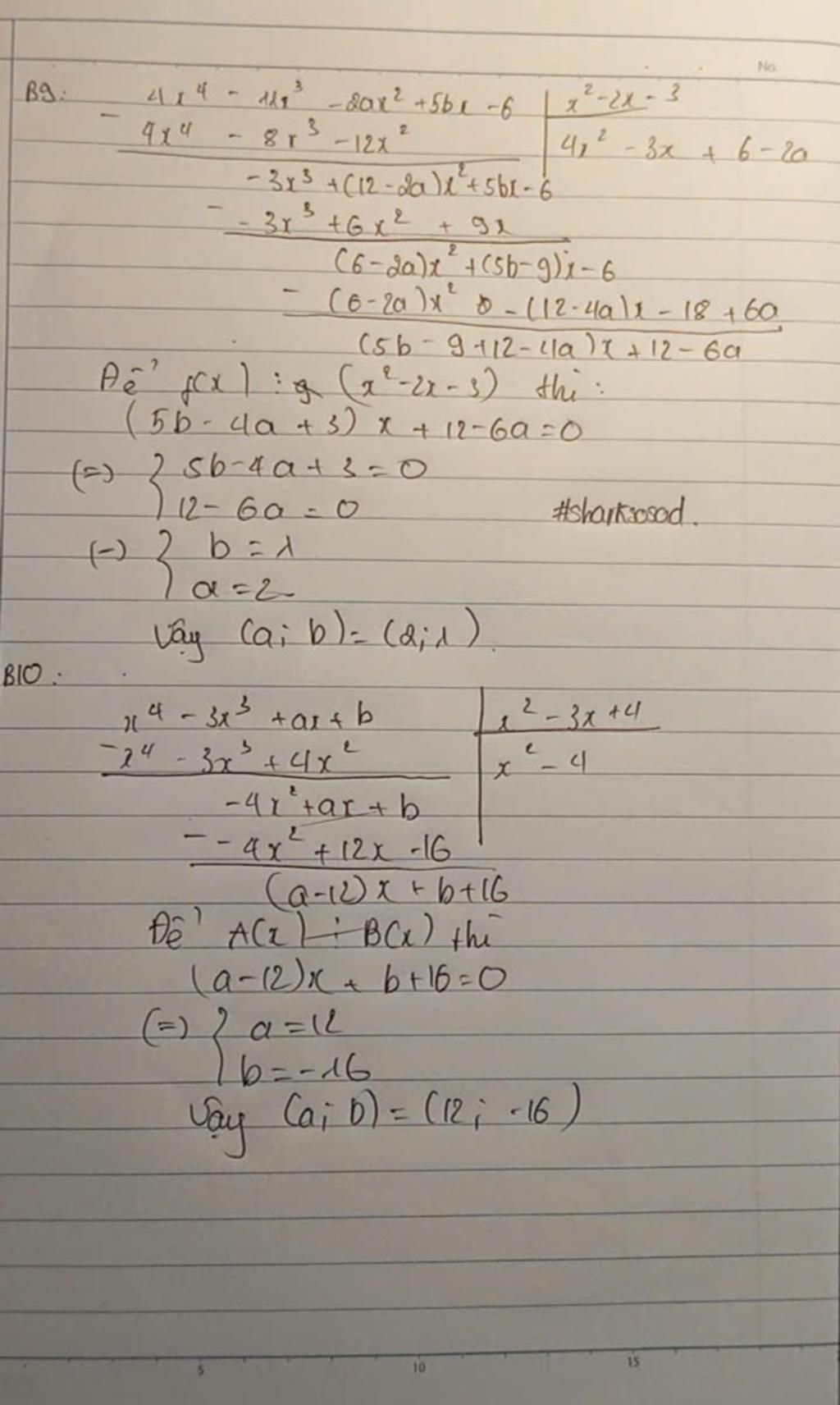
hai bài này là câu trên là gợi ý cho câu dứoi ạ
Hãy luôn nhớ cảm ơn và vote 5*
nếu câu trả lời hữu ích nhé!
Đáp án`+`Giải thích các bước giải:
`***`sharksosad
Hãy giúp mọi người biết câu trả lời này thế nào?
Bảng tin