

Hãy luôn nhớ cảm ơn và vote 5*
nếu câu trả lời hữu ích nhé!
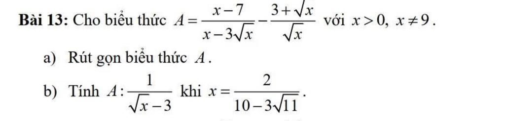
ĐKXĐ `x > 0 ; x \ne 9`
`A = ( x - 7 )/(x - 3\sqrt{x} ) - ( 3 + \sqrt{x} )/(\sqrt{x})`
`A = ( x - 7 )/(\sqrt{x}( \sqrt{x} - 3 )) - (( \sqrt{x} +3 )( \sqrt{x} -3 ))/(\sqrt{x}(\sqrt{x}- 3 ))`
`A = ( x - 7 )/(\sqrt{x}( \sqrt{x}- 3 )) - ( x - 9 )/(\sqrt{x}( \sqrt{x} - 3 ))`
`A = (x - 7 - x + 9 )/(\sqrt{x}( \sqrt{x} - 3 ))`
`A = 2/(\sqrt{x}( \sqrt{x} - 3 ))`
`Vậy A = 2/(\sqrt{x}( \sqrt{x} - 3 ))` với `x > 0 ; x \ne 9`
`x = 2/( 10 - 3\sqrt{11})` TMĐKXĐ
`x = ( 2( 10 + 3\sqrt{11} ))/(( 10- 3\sqrt{11} )( 10 + 3\sqrt{11} ))`
`x = ( 20 + 6\sqrt{11} )/( 100 - 99 )`
`x = ( 20 + 6\sqrt{11} )/1`
`x = 20 + 6\sqrt{11}`
`x = 11 + 2 . \sqrt{11} . 3 + 9`
`x = (\sqrt{11} + 3 )^2`
`\sqrt{x} = \sqrt{11} + 3 ( 1 )`
Ta có:
`A : 1/( \sqrt{x} - 3 )`
`= 2/(\sqrt{x}( \sqrt{x} - 3 )) . ( \sqrt{x} - 3 )`
`= 2/(\sqrt{x}) ( 2 )`
Thay `( 1 )` vào `( 2 )` ta được
`2/( \sqrt{11} + 3 )`
`= ( 2( \sqrt{11} - 3 ))/(( \sqrt{11} + 3 )( \sqrt{11} - 3 ))`
`= ( 2(\sqrt{11} - 3 ))/( 11 - 9 )`
`= ( 2( \sqrt{11} - 3 ))/2`
`= \sqrt{11} - 3`
Hãy giúp mọi người biết câu trả lời này thế nào?

Bảng tin
9
237
3
bt lm bài lp9 mà sao ko bt bài này hay ít điểm
13209
39779
10711
cụ thể mk lười bn ạ
9
237
3
=// giúp mình đk mai em mình nộp r
13209
39779
10711
bài kia vẽ hình ra là làm đc
9
237
3
nhưng thầy chx dạy lên ns ko bt lm
13209
39779
10711
bn vẽ hình ra chỉ e bn đi
9
237
3
mình vẽ đc hình nhưng ko bt lm=))
13209
39779
10711
có cách giải đơn giản là bn lên chat gpt á nó giải thích rõ luôn