

Hãy luôn nhớ cảm ơn và vote 5*
nếu câu trả lời hữu ích nhé!
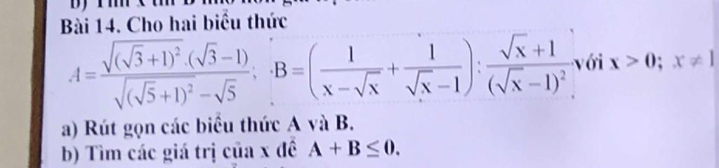
`a)`
`A=(\sqrt{(\sqrt{3}+1)^2}*(\sqrt{3}-1))/(\sqrt{(\sqrt{5}+1)^2}-\sqrt{5})`
`=(|\sqrt{3}+1|(\sqrt{3}-1))/(|\sqrt{5}+1|-\sqrt{5})`
`=((\sqrt{3}+1)(\sqrt{3}-1))/(\sqrt{5}+1-\sqrt{5})`
`=(3-1)/1=2/1=2`
`B=(1/(x-\sqrt{x})+1/(\sqrt{x}-1)):(\sqrt{x}+1)/(\sqrt{x}-1)^2` `(x>0;xne1)`
`=(1/(\sqrt{x}(\sqrt{x}-1))+1/(\sqrt{x}-1))*(\sqrt{x}-1)^2/(\sqrt{x}+1)`
`=((1+\sqrt{x})/(\sqrt{x}(\sqrt{x}-1)))*(\sqrt{x}-1)^2/(\sqrt{x}+1)`
`=(\sqrt{x}-1)/\sqrt{x}`
`b)`
`A+B=2+(\sqrt{x}-1)/\sqrt{x}`
`=(\sqrt{x}+2(\sqrt{x}-1))/(2\sqrt{x})`
`=(3\sqrt{x}-2)/(2\sqrt{x})` `(x>0)`
Ta có: `\sqrt{x}ge0` mà `x>0` nên `\sqrt{x}>0` hay `2\sqrt{x}>0`
Suy ra để biểu thức `le0` thì `3\sqrt{x}-2le0`
`<=>3\sqrt{x}le2`
`<=>\sqrt{x}le2/3`
`<=>xle4/9`
Vậy `0<xle4/9`
Hãy giúp mọi người biết câu trả lời này thế nào?
`A = ( \sqrt{( \sqrt{3} + 1 )^2} . ( \sqrt{3} -1 ))/( \sqrt{( \sqrt{5} + 1 )^2} - \sqrt{5} )`
`A = ( | \sqrt{3} + 1 |( \sqrt{3} - 1 ) )/( | \sqrt{5} + 1 | - \sqrt{5} )`
`A = (( \sqrt{3} + 1 )(\sqrt{3} - 1 ))/( \sqrt{5} + 1 - \sqrt{5})`
`A = ( 3 - 1 )/1`
`A = 2`
ĐKXĐ `x > 0 ; x \ne 1`
`B = ( 1/( x - \sqrt{x} ) + 1/( \sqrt{x} - 1 ) ) : ( \sqrt{x} + 1 )/(( \sqrt{x} - 1 )^2)`
`B = ( 1/(\sqrt{x}( \sqrt{x} - 1 )) + ( \sqrt{x} )/(\sqrt{x}( \sqrt{x}- 1))) . (( \sqrt{x} - 1 )^2)/( \sqrt{x} + 1 )`
`B = ( \sqrt{x} + 1 )/(\sqrt{x}( \sqrt{x} - 1 )) . (( \sqrt{x} - 1 )^2)/( \sqrt{x} + 1 )`
`B = ( \sqrt{x} - 1 )/( \sqrt{x})`
`A + B <= 0`
`( \sqrt{x} - 1 )/( \sqrt{x} ) + 2 <= 0`
`( 3\sqrt{x} - 1 )/( \sqrt{x}) <= 0`
`Do x > 0 => \sqrt{x} > 0`
`3\sqrt{x} - 1 <= 0`
`3\sqrt{x} <= 1`
`\sqrt{x} <= 1/3`
`x <= 1/9`
Kết hợp với ĐKXĐ `=> 1/9 >= x > 0`
`Vậy 1/9 >= x > 0` thì `A + B <= 0`
Hãy giúp mọi người biết câu trả lời này thế nào?
Bảng tin
13220
141
10713
2 có mẫu là 1 mà