

Hãy luôn nhớ cảm ơn và vote 5*
nếu câu trả lời hữu ích nhé!
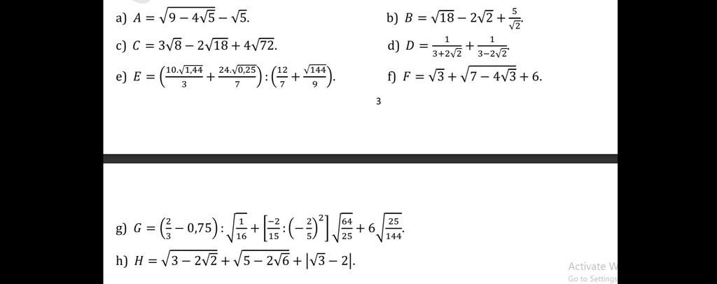
`A` `=` `\sqrt{9-4\sqrt{5}}-\sqrt{5}`
`=` `\sqrt{(\sqrt{5}-2)^2}-\sqrt{5}`
`=` `|\sqrt{5}-2|-\sqrt{5}`
`=` `sqrt{5}-2-\sqrt{5}` `(vì sqrt{5}>2)`
`=` `-2`
`B` `=` `\sqrt{18}-2\sqrt{2}+5\sqrt{2}`
`=` `\sqrt{2}.(3-2)+5\sqrt{2}`
`=` `\sqrt{2}+5\sqrt{2}`
`=` `(2+5)/sqrt{2}`
`=` `(7\sqrt{2})/2`
`E` `=` `((10.\sqrt{1,44})/3+(24.\sqrt{0,25})/7):(12/7+\sqrt{144}/9)`
`=` `(4+12/7):(12/7+12/9)`
`=` `40/7:64/21`
`=` `15/8`
`G` `=` `(2/3-0,75):\sqrt{1/16}+[-2/15:(-2/5)^2]\sqrt{64/25}+6\sqrt{25/144}`
`=` `-1/12:1/4+(-2/15:4/25)8/5+6*5/12`
`=` `-1/3+ -5/6*8/5+5/2`
`=` `-1/3+ -4/3+5/2`
`=` `-5/3+5/2`
`=` `5/6`
Hãy giúp mọi người biết câu trả lời này thế nào?
Bảng tin