

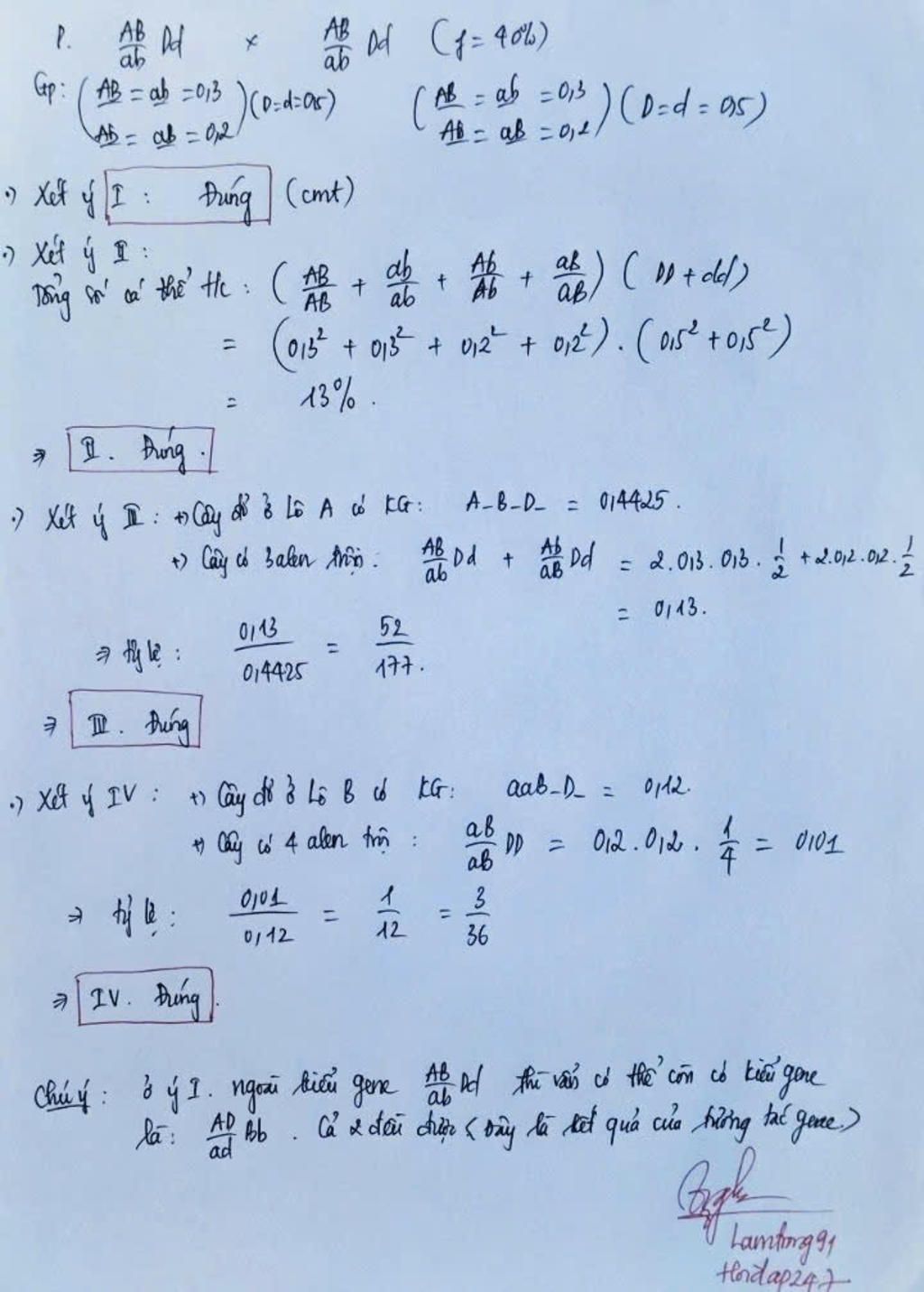
Ở một loài thực vật, xét các tính trạng màu sắc hoa và màu sắc hạt; trong đó tính trạng màu sắc
hạt do một cặp gen quy định, A quy định hạt vàng là trội hoàn toàn so với a quy định hạt xanh. Cho cây dị
hợp về tất cả các cặp gen tự thụ phấn, thu được F1 gồm các hạt màu vàng và các hạt màu xanh. Tiến hành
gieo các hạt F1 thành 2 lô:
- Lô A: Gieo tất cả các hạt màu vàng, các cây trưởng thành có tỉ lệ 59% cây hoa đỏ: 41% cây hoa trắng.
- Lô B: Gieo tất cả các hạt màu xanh, các cây trưởng thành có tỉ lệ 48% cây hoa đỏ: 52% cây hoa trắng.
Biết rằng tất cả các hạt đều có khả năng sống như nhau và không xảy ra đột biến, nếu có hoán vị gen thì
tần số hoán vị ở 2 giới là như nhau. Theo lý thuyết, có bao nhiêu phát biểu sau đây đúng?
I. Kiểu gen của cây P là AB/ab Dd
.
II. Ở F1 tổng số cá thể thuần chủng chiếm tỉ lệ 13%.
III. Trong số các cây hoa đỏ ở lô A, cây có 3 alen trội chiếm tỉ lệ 52/177.
IV. Trong số các cây hoa đỏ ở lô B, cây có 4 alen trội chiếm tỉ lệ 3/36.
A. 4.
B. 3.
C. 2.
D. 1
Hãy luôn nhớ cảm ơn và vote 5*
nếu câu trả lời hữu ích nhé!
Bảng tin
91
92
44
A @LamTrong91 vote + cảm ơn cho e được không ạ ?
3730
64964
2164
:))) ôi tr
91
92
44
Các Mác của a đẹp quá =)