

Hãy luôn nhớ cảm ơn và vote 5*
nếu câu trả lời hữu ích nhé!
Đáp án:BT1:a, -5/12 +4?37 +17/12-41/37=(-5/12 +17/12)+(4/37 -41/37 )=1+(-1)=0
.b,5/8×5/12+19/12×0,625
=5/8×5/12+19/12×5/8
=(5/8×5/8)×(5/12+19/12)
=25/64×2
=25/32
c,1/2×5,5+1/2×4,5
=1/2×11/2+1/2×9/2
=(1/2×1/2)+(11/2×9/2)
=1/4+99/4
=25
BT2:
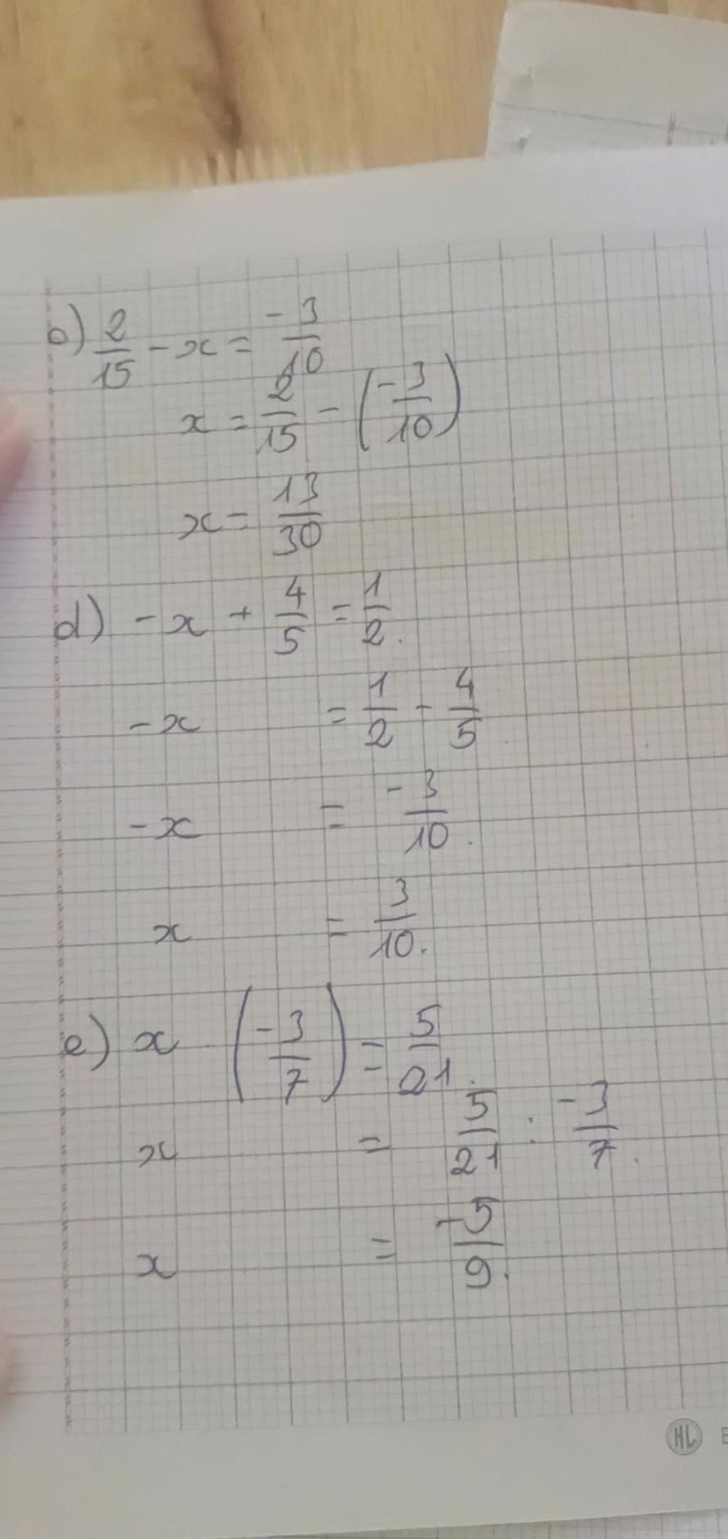
E, x.(-3/7)=5/21
x =5/21:(-3/7)
x =-5/9
b, x-2=-5/9
x =-5/9+2
x =13/9
c,2/15-x=-3/10
x=2/5-(-3/10
x=13/30
d, -x+4/5=1/2
-x =1/2-4/5
- x =-3/10
a, x+1/12=-3/8
x =-3/8-1/12
x =-11/24
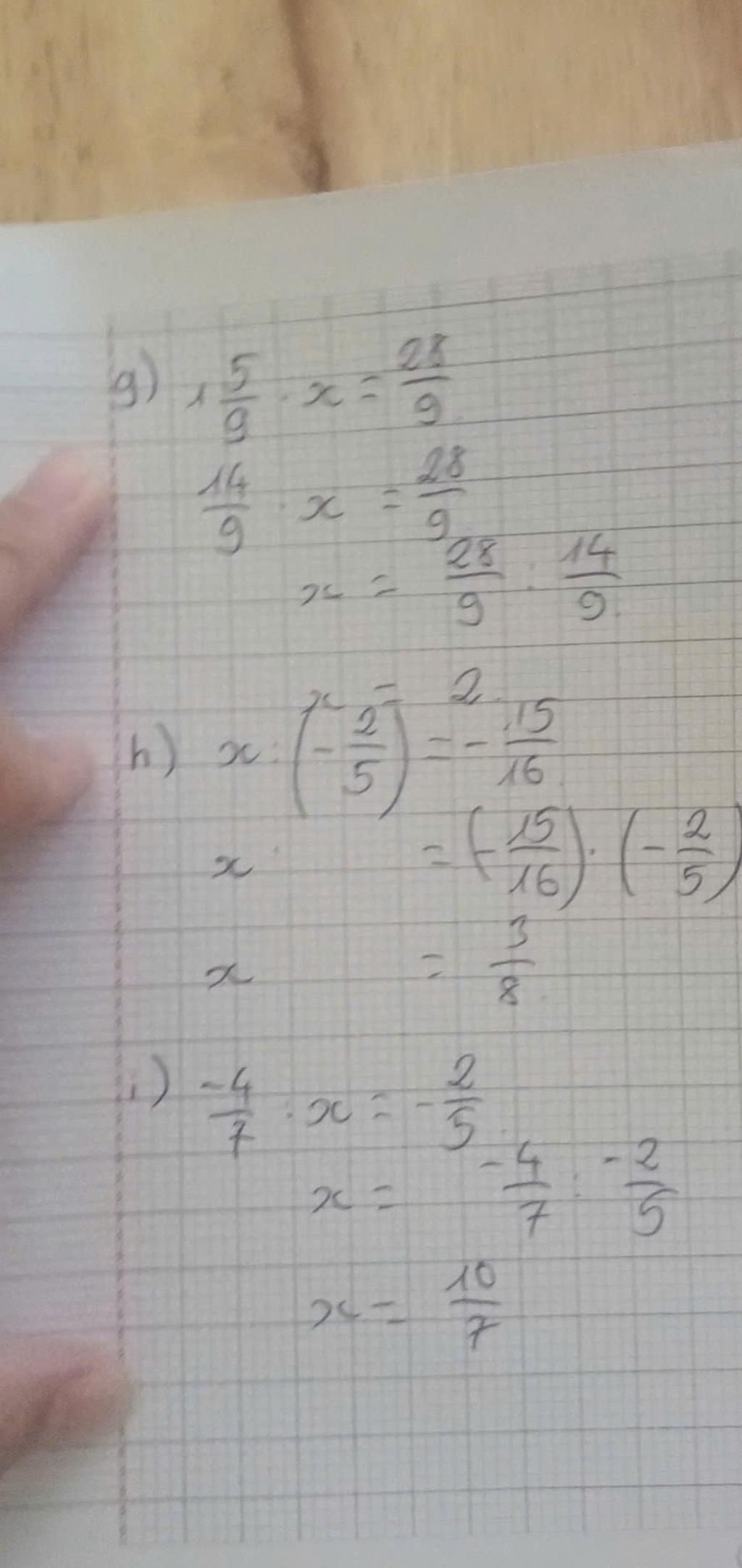
g,một năm/ 9 .x=28/9
14/9 . x=28/9
x=14/9 : 28/9
x=1/2
h, x:(-2/5)=15/16
x =15/16 × (-2/5)
x =-3/8
i, -4/7:x=-2/5
x=-4/7. -2/5
x=8/35
k,2/5-x+1/3=(-1/3)
2/5- x=-1/3-1/3
2/5- x=-2/3
x =2/5-(-2/3)
x=16/15
BT3:
số đối của các số trên là -2/5;12/19;-0;-3/2;4/5
Giải thích các bước giải:
Hãy giúp mọi người biết câu trả lời này thế nào?
Bảng tin