

Làm câu a,b,c,d cho e với ạ(lớp 7)
Hãy luôn nhớ cảm ơn và vote 5*
nếu câu trả lời hữu ích nhé!
Đáp án:
Giải thích các bước giải:
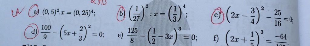
`a)(0,5)^2 . x = (0,25)^4`
`0,25 . x = (0,25)^4`
`x= (0,25)^4 : 0,25`
`x = (0,25)^3`
vậy `x= (0,25)^3`
`b) (1/27)^2 : x = (1/3)^4`
`(1/3)^6 : x = (1/3)^4`
`x = (1/3)^6 : (1/3)^4`
`x = (1/3)^2`
`x = 1/9`
Vậy `x = 1/9`
`c) (2x - 3/4)^2 - 25/16 = 0`
`(2x - 3/4)^2 = 25/16`
`(2x -3/4)^2 = (+-5/4)^2`
`=> 2x - 3/4 = 5/4` hoặc `2x - 3/4 = -5/4`
`=> 2x = 2` hoặc `2x = -1/2`
`=> x = 1` hoặc `x = -1/4`
Vậy `x in { 1 ; -1/4}`
`d) 100/9 - (5x + 2/3)^2 = 0`
`(5x + 2/3)^2 = 0 = 100/9`
`(5x + 2/3)^2 = (+-10/3)^2`
`=> 5x + 2/3 = 10` hoặc `5x + 2/3 = -10`
`=> 5x = 28/3` hoặc `5x = -32/3`
`=> x = 28/15` hoặc `x = -32/15
vậy `x in { 28/15 ; -32/15}`
Hãy giúp mọi người biết câu trả lời này thế nào?
`a)`
`(0,5)^2·x=(0,25)^4`
`(0,5)^2·x=[(0,5)^2]^4`
`(0,5)^2·x=(0,5)^8`
`x=(0,5)^8÷(0,5)^2`
`x=(0,5)^6`
`x=(1/2)^6`
`x=1/64`
Vậy `x=1/64`
`b)`
`(1/27)^2÷x=(1/3)^4`
`[(1/3)^3]^2÷x=(1/3)^4`
`(1/3)^6÷x=(1/3)^4`
`x=(1/3)^6÷(1/3)^4`
`x=(1/3)^2`
`x=1/9`
Vậy `x=1/9`
`c)`
`(2x-3/4)^2-25/16=0`
`(2x-3/4)^2=25/16`
`(2x-3/4)^2=(±5/4)^2`
`2x-3/4=5/4` hoặc `2x-3/4=-5/4`
`2x=2` hoặc `2x=-1/2`
`x=1` hoặc `x=-1/4`
Vậy `x in {1;-1/4}`
`d)`
`100/9-(5x+2/3)^2=0`
`(5x+2/3)^2=100/9`
`(5x+2/3)^2=(±10/3)^2`
`5x+2/3=10/3` hoặc `5x+2/3=-10/3`
`5x=8/3` hoặc `5x=-4`
`x=8/15` hoặc `x=-4/5`
Vậy `x in {8/15;-4/5}`
Hãy giúp mọi người biết câu trả lời này thế nào?
Bảng tin