

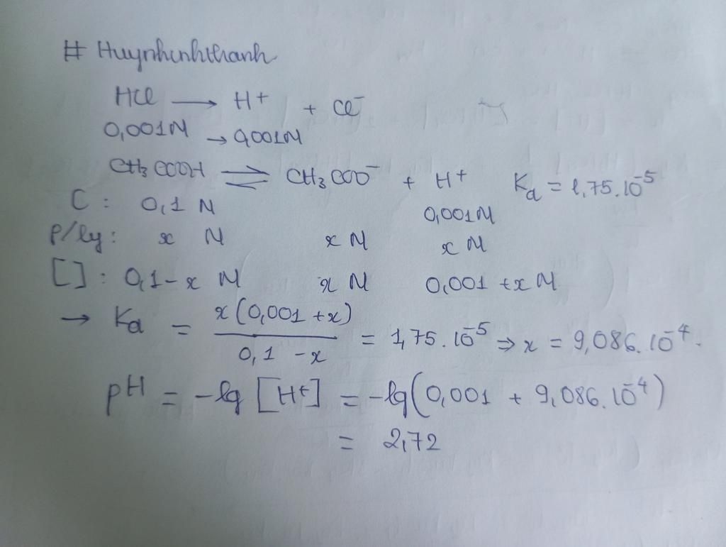
Cho dd hh X gồm HCl 0,001M và $CH_3COOH$ 0,1M. Biết $K_{c_{CH_3COOH}}=1,75.10^{-5}$ và bỏ qua sự phân li của nước. Giá trị pH của dd A là
Hãy luôn nhớ cảm ơn và vote 5*
nếu câu trả lời hữu ích nhé!
Đáp án:
Ta có:
`HCl->H^{+}+Cl^{-}`
`=>[H^{+}]=[HCl]=0,001(M)`
`CH_3COOH`$\rightleftharpoons$`H^{+}+CH_3COO^{-}`
Theo đề:
`[CH_3COOH]_{"bđ"}=0,1(M)`
`[H^{+}]_{"bđ"}=0,001(M)`
Gọi:
`[CH_3COOH]_{"pl"}=[H^{+}]_{"pl"}=[CH_3COO^{-}]_{"pl"}=a(M)`
`=>[CH_3COOH]_{"cb"}=0,1-a\ (M)`
`=>[H^{+}]_{"cb"}=0,001+a\ (M)`
`=>[CH_3COO^{-}]_{"cb"}=a(M)`
`=>K_a={[H^{+}].[CH_3COO^{-}]}/{[CH_3COOH]}`
`<=>1,75.10^{-5}={(0,001+a).a}/{(0,1-a)}`
`=>a~~9,086.10^{-4}(M)`
`=>\sum[H^{+}]=0,001+9,086.10^{-4}=1,9086.10^{-3}(M)`
`=>pH=-log[H^{+}]=-log(1,9086.10^{-3})~~2,72`
Hãy giúp mọi người biết câu trả lời này thế nào?

Bảng tin