

Hãy luôn nhớ cảm ơn và vote 5*
nếu câu trả lời hữu ích nhé!
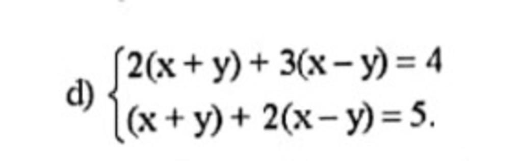
`{( 2(x+y)+3(x-y)=4),((x+y)+2(x-y)=5):}`
`=>{(2x+2y+3x-3y=4),(x+y+2x-2y=5):}`
`=>{(5x-y=4),(3x-y=5):}`
`=> {(5x-3x=4-5),(3x-y=5):}`
`=>{(2x=-1),(3x-y=4):}`
`=>{(x=\frac{-1}{2}),(3*\frac{-1}{2}-y=4):}`
`=>{(x=\frac{-1}{2} ),(y=\frac{-13}{2}):}`
Vậy `x = -1/2` và `y = -13/2`
Hãy giúp mọi người biết câu trả lời này thế nào?

$\begin{cases} 2 ( x + y ) + 3 ( x - y ) = 4\\( x + y ) + 2 ( x - y ) = 5\end{cases}$
$\begin{cases} 2x + 2y + 3x - 3y = 4\\x + y + 2x - 2y = 5 \end{cases}$
$\begin{cases} 5x - y = 4\\3x - y = 5 \end{cases}$
$\begin{cases} -5x + y = -4\\3x - y = 5 \end{cases}$
$\begin{cases} -2x = 1\\3x - y = 5 \end{cases}$
$\begin{cases} x = -\dfrac{1}{2}\\3 . ( -\dfrac{1}{2} ) - y = 5 \end{cases}$
$\begin{cases} x = -\dfrac{1}{2}\\y = -\dfrac{13}{2}\end{cases}$
Vậy hệ phương trình có nghiệm là $\begin{cases} x = -\dfrac{1}{2}\\y = -\dfrac{13}{2} \end{cases}$
Hãy giúp mọi người biết câu trả lời này thế nào?

Bảng tin