

Hãy luôn nhớ cảm ơn và vote 5*
nếu câu trả lời hữu ích nhé!

Giải thích các bước giải:
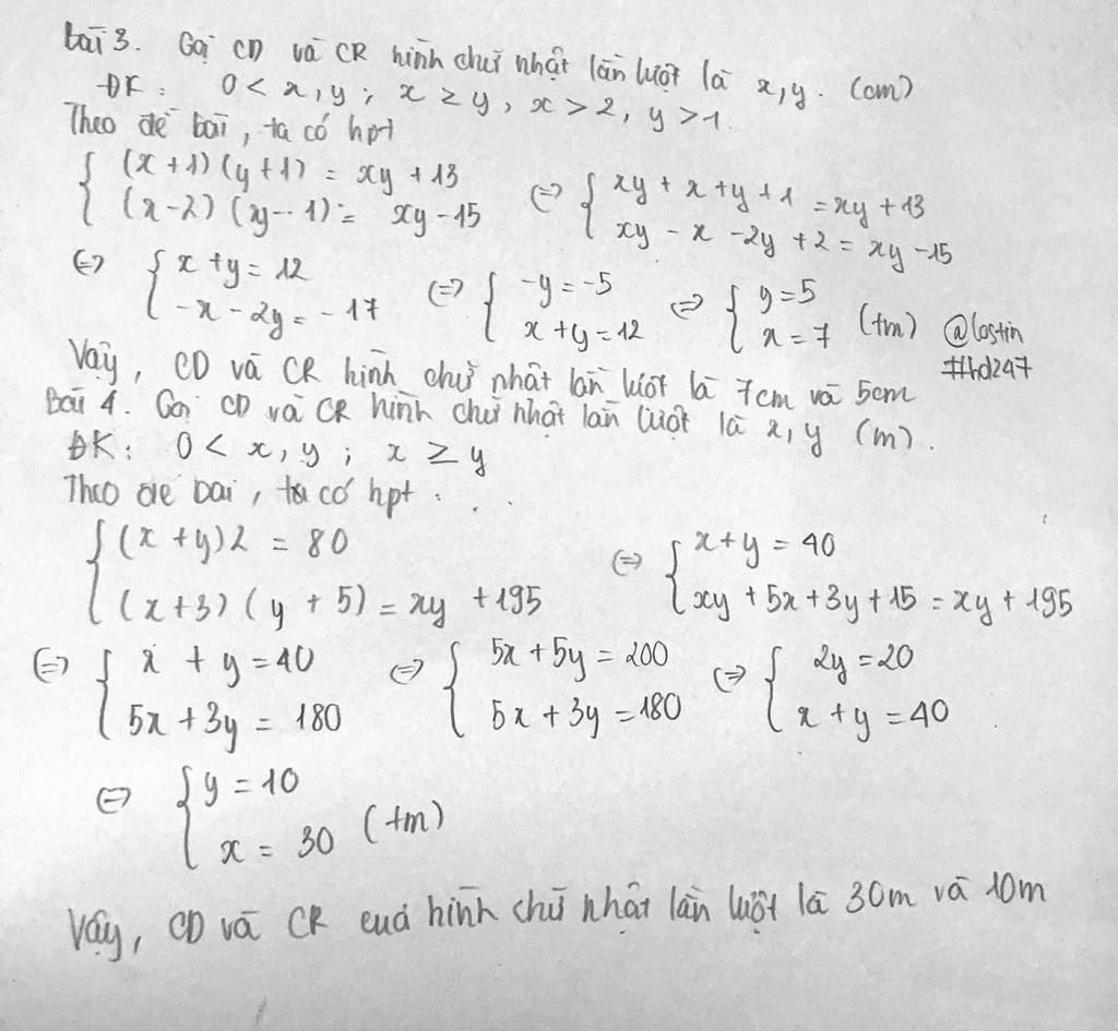
Bài 3:
Gọi chiều dài, chiều rộng hình chữ nhật lần lượt là $x,y, $ cm, $(x\ge y>0)$
Theo bài ta có:
$\begin{cases}(x+1)(y+1)-xy=13\\ xy-(x-2)(y-1)=15\end{cases}$
$\to \begin{cases}x+y+1 =13\\ x+2y-2=15\end{cases}$
$\to \begin{cases}x=12-y\\ 12-y+2y-2=15\end{cases}$
$\to \begin{cases}x=7\\y=5\end{cases}$
Bài 4:
Gọi chiều dài, chiều rộng hình chữ nhật lần lượt là $x,y, (x\ge y>0)$ m
Theo bài ta có:
$\begin{cases}2(x+y)=80\\ (x+3)(y+5)-xy=195\end{cases}$
$\to \begin{cases}x+y=40\\ 5x+3y+15=195\end{cases}$
$\to \begin{cases}x=40-y\\ 5(40-y)+3y+15=195\end{cases}$
$\to \begin{cases}x=30\\y=10\end{cases}$
Hãy giúp mọi người biết câu trả lời này thế nào?
Bảng tin