

Hãy luôn nhớ cảm ơn và vote 5*
nếu câu trả lời hữu ích nhé!
Đáp án`+`Giải thích các bước giải:
a) Ta có:
`{((2x - 1/6)^2 ≥ 0),(\sqrt{3y + 12} ≥ 0):}`
`⇒ (2x - 1/6)^2 + \sqrt{3y + 12} ≥ 0`
Để (2x - 1/6)^2 + \sqrt{3y + 12} ≤ 0` thì
`{((2x - 1/6)^2 = 0),(\sqrt{3y + 12} = 0):}`
`⇒ `{(2x - 1/6 = 0),(3y + 12 = 0):}`
`⇒ (x;y) = (1/12; 4)`
b)Ta có:
`{((x + 2z)^2 ≥ 0),(\sqrt{x - 1} ≥ 0),(|2x - y| ≥ 0):}`
Để `(x + 2z)^2 + |2x - y| = -\sqrt{x - 1}`
`⇒ x = 2z; 2x = y; x = 1`
`⇒ (x;y;z) = (1;2;1/2)`
꧁$\color{#1c1c1c}{\text{G}}$$\color{#2a2043}{\text{o}}$$\color{#291063}
{\text{d}}$$\color{#53008}{\text{M}}$$\color{#6b28ac}
{\text{a}}$$\color{#8c4ebd}{\text{t}}$$\color{#B592D6}
{\text{h}}$$\color{#ceaedf}{\text{s}}$꧂
Hãy giúp mọi người biết câu trả lời này thế nào?
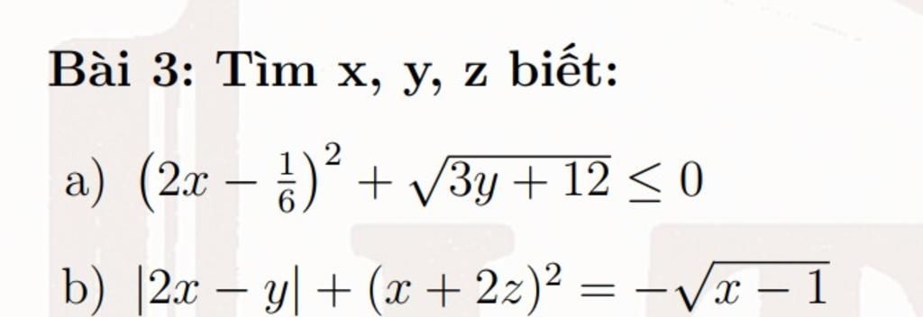
Bài 3 :
a) ta có ( 2x - 1/6 ) bình và căn 3y + 12 luôn lớn hơn hoặc bằng 0
mà theo đề bài cho nhỏ hơn hoặc bằng 0
-> để thỏa mãn, buộc phải 2x - 1/6 = 0 và 3y + 12 = 0
-> x = 1/6 : 2 = 1/12 ; y = 12 : 3 = 4
b) Vì giá trị tuyệt đối của 2x - y và ( x + 2z ) bình luôn lớn hơn hoặc bằng 0
mà - căn của x - 1 luôn bé hơn hoặc bằng 0 do có dấu - đằng sau
-> để thỏa mãn thì giá trị tuyệt đối 2x - y = 0 , x + 2z = 0 và x - 1 = 0
-> x = 0 + 1 = 1
y = 2 - 0 = 2
z = 1 : 2 = 0,5
Chuc bn hok tot !
Hãy giúp mọi người biết câu trả lời này thế nào?
Bảng tin
776
13868
463
14 hôm = 2tuaanf
776
13868
463
vô lại ko
776
13868
463
tại nhóm chật quá h kick bớt r
1181
753
1868
u ồ ôi;))
1181
753
1868
anh doanminh=)))
776
13868
463
nó vô giúp thui
1181
753
1868
ơ..
776
13868
463
vô lại thì vô