Vui lòng chỉ chọn một câu hỏi
Hoidap247.com Nhanh chóng, chính xác
+
Danh mục mới
0
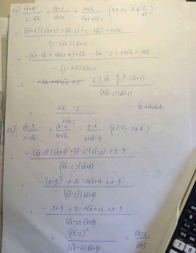
Các cao nhân giúp tui bài này vs ạ
Hãy luôn nhớ cảm ơn và vote 5* nếu câu trả lời hữu ích nhé!
1767
13592
1554
Đáp án:
Giải thích các bước giải:
Hãy giúp mọi người biết câu trả lời này thế nào?
6175
85919
2913
Bạn sửa chưa đấy nhỉ?
mình có giải lại ra nháp thấy mình tính đúng mod ạ, mod cho mình bt mình sai đâu để mình sửa vs ạ
Sai ở `(3\sqrt(x) -1) . (\sqrt(x) +1)` nhé.
Phải là `(6\sqrt(x)-2). (\sqrt(x) +1)` mới đúng nhe
mình có bấm mtinh lại thì nó ra `(3\sqrt{x}-1)(\sqrt{x} +1)`ạ
Thế bạn thử nhân từ trái qua phải xem nó có bằng `6x + 4\sqrt(x)-2` không?
Không phải cứ bấm máy tính là đúng đâu nhé
à vg ạ g mình ms bt =))) mình cảm ơn mod nhé ạ
Xem thêm:
Bảng tin
Gửi yêu cầu Hủy
6175
85919
2913
Bạn sửa chưa đấy nhỉ?
1767
13592
1554
mình có giải lại ra nháp thấy mình tính đúng mod ạ, mod cho mình bt mình sai đâu để mình sửa vs ạ
6175
85919
2913
Sai ở `(3\sqrt(x) -1) . (\sqrt(x) +1)` nhé.
6175
85919
2913
Phải là `(6\sqrt(x)-2). (\sqrt(x) +1)` mới đúng nhe
1767
13592
1554
mình có bấm mtinh lại thì nó ra `(3\sqrt{x}-1)(\sqrt{x} +1)`ạ
6175
85919
2913
Thế bạn thử nhân từ trái qua phải xem nó có bằng `6x + 4\sqrt(x)-2` không?
6175
85919
2913
Không phải cứ bấm máy tính là đúng đâu nhé
1767
13592
1554
à vg ạ g mình ms bt =))) mình cảm ơn mod nhé ạ