

Hãy luôn nhớ cảm ơn và vote 5*
nếu câu trả lời hữu ích nhé!
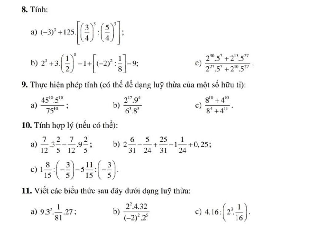
`8)`
a)
$(-3)^3 + 125 \cdot \left[ \left(\dfrac{3}{4}\right)^3 : \left(\dfrac{5}{4}\right)^3 \right]$
$= -27 + 125 \cdot \left[ \left(\dfrac{3}{4} : \dfrac{5}{4}\right)^3 \right]$
$= -27 + 125 \cdot \left[ \left(\dfrac{3}{4} \cdot \dfrac{4}{5}\right)^3 \right]$
$= -27 + 125 \cdot \left(\dfrac{3}{5}\right)^3$
$= -27 + 125 \cdot \dfrac{3^3}{5^3}$
$= -27 + 5^3 \cdot \dfrac{27}{5^3}$
$= -27 + 27 = 0$
b)
$2^3 + 3 \cdot \left(\dfrac{1}{2}\right)^0 - 1 + [(-2)^2 : \dfrac{1}{8}] - 9$
$= 8 + 3 \cdot 1 - 1 + [4 \cdot 8] - 9$
$= 8 + 3 - 1 + 32 - 9$
$= 11 - 1 + 32 - 9$
$= 10 + 32 - 9$
$= 42 - 9 = 33$
c)
$\dfrac{2^{30} \cdot 5^7 + 2^{13} \cdot 5^{27}}{2^{27} \cdot 5^7 + 2^{10} \cdot 5^{27}}$
$= \dfrac{2^{13} \cdot 5^7 \cdot (2^{17} + 5^{20})}{2^{10} \cdot 5^7 \cdot (2^{17} + 5^{20})}$
$= \dfrac{2^{13} \cdot 5^7}{2^{10} \cdot 5^7}$
$= \dfrac{2^{13}}{2^{10}} = 2^{13-10} = 2^3 = 8$
`9)`
a)
$\dfrac{45^{10} \cdot 5^{10}}{75^{10}} = \dfrac{(45 \cdot 5)^{10}}{75^{10}}$
$= \dfrac{225^{10}}{75^{10}} = \left(\dfrac{225}{75}\right)^{10}$
$= 3^{10}$
b)
$\dfrac{2^{17} \cdot 9^4}{6^3 \cdot 8^3} = \dfrac{2^{17} \cdot (3^2)^4}{(2 \cdot 3)^3 \cdot (2^3)^3}$
$= \dfrac{2^{17} \cdot 3^8}{2^3 \cdot 3^3 \cdot 2^9}$
$= \dfrac{2^{17} \cdot 3^8}{2^{12} \cdot 3^3}$
$= 2^{17-12} \cdot 3^{8-3} = 2^5 \cdot 3^5$
$= (2 \cdot 3)^5 = 6^5$
c)
$\dfrac{8^{10} + 4^{10}}{8^4 + 4^{11}} = \dfrac{(2^3)^{10} + (2^2)^{10}}{(2^3)^4 + (2^2)^{11}}$
$= \dfrac{2^{30} + 2^{20}}{2^{12} + 2^{22}}$
$= \dfrac{2^{20}(2^{10} + 1)}{2^{12}(1 + 2^{10})}$
$= \dfrac{2^{20}}{2^{12}} = 2^{20-12} = 2^8$
`10)`
a)
$\dfrac{7}{12} \cdot3\dfrac{2}{5} - \dfrac{7}{12}\cdot9\dfrac{2}{5}$
$= \dfrac{7}{12} \cdot \left(3+\dfrac{2}{5}\right) - \dfrac{7}{12} \cdot \left(9+\dfrac{2}{5}\right)$
$= \dfrac{7}{12} \cdot \dfrac{17}{5} - \dfrac{7}{12} \cdot \dfrac{47}{5}$
$= \dfrac{7}{12} \cdot \left(\dfrac{17}{5} - \dfrac{47}{5}\right)$
$= \dfrac{7}{12} \cdot \left(-\dfrac{30}{5}\right)$
$= \dfrac{7}{12} \cdot (-6)$
$= -\dfrac{42}{12} = -\dfrac{7}{2}$
b)
$2\dfrac{6}{31} - \dfrac{5}{24} + \dfrac{25}{31} -1 \dfrac{1}{24} + 0,25$
$= \left(2+\dfrac{6}{31}\right) - \dfrac{5}{24} + \dfrac{25}{31} - \left(1+\dfrac{1}{24}\right) + \dfrac{1}{4}$
$= 2+\dfrac{6}{31} - \dfrac{5}{24} + \dfrac{25}{31} - 1-\dfrac{1}{24} + \dfrac{1}{4}$
$= (2-1) + \left(\dfrac{6}{31} + \dfrac{25}{31}\right) + \left(-\dfrac{5}{24} - \dfrac{1}{24}\right) + \dfrac{1}{4}$
$= 1 + \dfrac{31}{31} - \dfrac{6}{24} + \dfrac{1}{4}$
$= 1 + 1 - \dfrac{1}{4} + \dfrac{1}{4}$
$= 2$
c)
$1\dfrac{8}{15} : \left(-\dfrac{3}{5}\right) - 5\dfrac{11}{15} : \left(-\dfrac{3}{5}\right)$
$= \left(1+\dfrac{8}{15}\right) : \left(-\dfrac{3}{5}\right) - \left(5+\dfrac{11}{15}\right) : \left(-\dfrac{3}{5}\right)$
$= \dfrac{23}{15} : \left(-\dfrac{3}{5}\right) - \dfrac{86}{15} : \left(-\dfrac{3}{5}\right)$
$= \left(\dfrac{23}{15} - \dfrac{86}{15}\right) : \left(-\dfrac{3}{5}\right)$
$= \left(-\dfrac{63}{15}\right) : \left(-\dfrac{3}{5}\right)$
$= -\dfrac{21}{5} : \left(-\dfrac{3}{5}\right)$
$= -\dfrac{21}{5} \cdot \left(-\dfrac{5}{3}\right)$
$= \dfrac{21 \cdot 5}{5 \cdot 3} = \dfrac{21}{3} = 7$
`11`
a)
$9 \cdot 3^2 \cdot \dfrac{1}{81} \cdot 27$
$= 3^2 \cdot 3^2 \cdot \dfrac{1}{3^4} \cdot 3^3$
$= 3^{2+2-4+3} = 3^3$
b)
$\dfrac{2^2 \cdot 4 \cdot 32}{(-2)^2 \cdot 2^5} = \dfrac{2^2 \cdot 2^2 \cdot 2^5}{2^2 \cdot 2^5}$
$= 2^{2+2+5-2-5} = 2^2$
c)
$4 \cdot 16 : \left(2^2 \cdot \dfrac{1}{16}\right)$
$= 2^2 \cdot 2^4 : \left(2^2 \cdot \dfrac{1}{2^4}\right)$
$= 2^{2+4} : \dfrac{2^2}{2^4}$
$= 2^6 : 2^{2-4} = 2^6 : 2^{-2}$
$= 2^{6-(-2)} = 2^{6+2} = 2^8$
Hãy giúp mọi người biết câu trả lời này thế nào?
Bảng tin