

Hãy luôn nhớ cảm ơn và vote 5*
nếu câu trả lời hữu ích nhé!
Đáp án + Giải thích các bước giải:
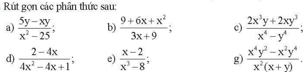
$\textbf{a}\bigg)$
$\begin{array}{l} & \dfrac{5y -xy}{x^2 -25}(x \ne \pm 5)
\\ &= \dfrac{-y(x - 5)}{(x + 5)(x - 5)}
\\ &= \dfrac{-y}{x + 5}\end{array}$
$\textbf{b}\bigg)$
$\begin{array}{l} & \dfrac{9 + 6x + x^2}{3x + 9}(x \ne -3)
\\ &= \dfrac{(x + 3)^2}{3(x + 3)}
\\ &= \dfrac{x + 3}{3}\end{array}$
$\textbf{c}\bigg)$
$\begin{array}{l} & \dfrac{2x^3y + 2xy^3}{x^4 - y^4}(x \ne \pm y)
\\ &= \dfrac{2xy(x^2 + y^2)}{(x^2 + y^2)(x^2 - y^2)}
\\ &= \dfrac{2xy}{x^2 - y^2}\end{array}$
$\textbf{d}\bigg)$
$\begin{array}{l} & \dfrac{2 - 4x}{4x^2 - 4x + 1}\left(x \ne \dfrac{1}{2}\right)
\\ &= \dfrac{2(1 - 2x)}{(2x - 1)^2}
\\ &= \dfrac{-2(2x - 1)}{(2x - 1)^2}
\\ &= \dfrac{-2}{2x - 1}\end{array}$
$\textbf{e}\bigg)$
$\begin{array}{l} & \dfrac{x - 2}{x^3 - 8}(x \ne 2)
\\ &= \dfrac{x - 2}{x^3 - 2^3}
\\ &= \dfrac{x - 2}{(x - 2)(x^2 + 2x + 4)}
\\ &= \dfrac{1}{x^2 + 2x + 4}\end{array}$
$\textbf{g}\bigg)$
$\begin{array}{l} & \dfrac{x^4y^2 - x^2y^4}{x^2(x + y)}(x \ne 0; x \ne -y)
\\ &= \dfrac{x^2y^2 (x^2 - y^2)}{x^2(x + y)}
\\ &= \dfrac{y^2(x + y)(x - y)}{x + y}
\\ &= y^2(x - y)\end{array}$
Hãy giúp mọi người biết câu trả lời này thế nào?

`a)`
`(5y-xy)/(x^2-25) (đk:x\ne5;x\ne-5)`
`=(y(5-x))/((x-5)(x+5))`
`=-(y(x-5))/((x-5)(x+5))`
`=-y/(x+5)`
`b)`
`(9+6x+x^2)/(3x+9) (đk:x\ne-3)`
`=((3+x)^2)/(3(x+3))`
`=(x+3)/3`
`c)`
`(2x^3y+2xy^3)/(x^4-y^2) (đk:x\ney;x\ne-y)`
`=(2xy(x^2+y^2))/((x^2-y^2)(x^2+y^2))`
`=(2xy)/(x^2-y^2)`
`d)`
`(2-4x)/(4x^2-4x+1) (đk:x\ne1/2)`
`=(2(1-2x))/((2x-1)^2)`
`=-(2(2x-1))/((2x-1)^2)`
`=-2/(2x-1)`
`e)`
`(x-2)/(x^3-8) (đk:x\ne2)`
`=(x-2)/((x-2)(x^2+2x+4))`
`=1/(x^2+2x+4)`
`g)`
`(x^4y^2-x^2y^4)/(x^2(x+y)) (đk:x\ne0;x\ne-y)`
`=(x^2y^2(x^2-y^2))/(x^2(x+y))`
`=(x^2y^2(x-y)(x+y))/(x^2(x+y))`
`=y^2(x-y)`
`=xy^2-y^3`
Hãy giúp mọi người biết câu trả lời này thế nào?

Bảng tin