

Giúp mik giải bài này với
Hãy luôn nhớ cảm ơn và vote 5*
nếu câu trả lời hữu ích nhé!
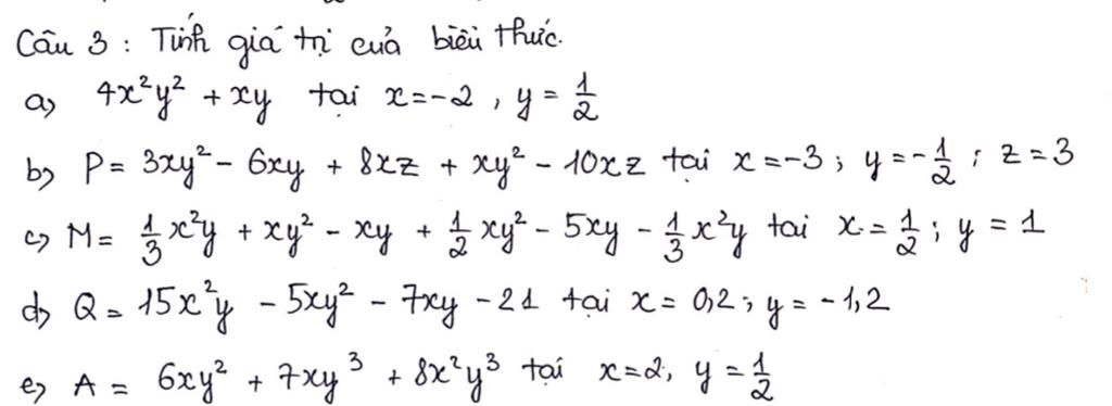
Câu `3:`
`a,`Thay `x=-2;y=1/2` vào biểu thức,ta có:
`4.(-2)^2.(1/2)^2 +(-2).1/2`
`=4-1`
`=3`
Vậy biểu thức có giá trị bằng `3` khi `x=-2,y=1/2`
`b,`Thay `x=-3;y=-1/2;z=3` vào `P`,ta có:
`P=3.(-3).(-1/2)^2-6.(-3).(-1/2)+8.(-3).3 +3.(-1/2)^2 -10.(-3).3`
`P=9/4 -9-72+3/4 +90`
`P=(9/4 +3/4)+(-9-72+90)`
`P=3+9`
`P=12`
Vậy `P=12` khi `x=-3;y=-1/2;z=3`
`c,` Thay `x=1/2;y=1` vào `M`,ta có:
`M=1/3.(1/2)^2.1+1/2.(1)^2-1/2.1+1/2. 1/2. 1^2-5.1.1/2-1/3.(1/2)^2.1`
`M=1/12+1/2-1/2+1/4-5/2-1/12`
`M=-9/4`
Vậy `M=-9/4` khi `x=1/2;y=1`
`d,`Thay `x=0,2;y==-1,2` vào `Q`,ta có:
`Q=15.(0,2)^2.(-1,2)-5.0,2.(-1,2)^2-7.0,2.(-1,2)-21`
`Q=-21,48`
Vậy `Q=-21,48` khi `x=0,2;y=-1,2`
`e,`Thay `x=2;y=1/2` váo `A`,ta có:
`A=6.2.(1/2)^2+7.2.(1/2)^3+8.2^2.(1/2)^3`
`A=8,75`
Vậy `A=8,75` khi `x=2;y=1/2`
`\textb\color{#FF8C00}☆\color{#FFA000}L\color{#FFB400}t\color{#FFC800}k\color{#FFDC00}c\color{#FFE000}u\color{#FFE400}t\color{#FFEA00}e\color{#FFEA00}☆`
Hãy giúp mọi người biết câu trả lời này thế nào?
![]()
Bảng tin
0
14
0
Cảm ơn bạn nha
1606
26495
1016
Bn kiểm tra lại xem có bị nhầm ở đâu k nhé!
0
14
0
Ok bạn