Vui lòng chỉ chọn một câu hỏi
Hoidap247.com Nhanh chóng, chính xác
+
Danh mục mới
9
1293
3
Gpt :
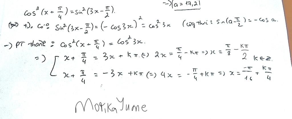
$cos^{2}(x+$$\frac{\pi}{4})$ $=$ $sin^{2}(3x-$$\frac{\pi}{2})$
Hãy luôn nhớ cảm ơn và vote 5* nếu câu trả lời hữu ích nhé!
319
308
240
Đáp án:
Giải thích các bước giải:
Hãy giúp mọi người biết câu trả lời này thế nào?
Bảng tin
Gửi yêu cầu Hủy