

Hãy luôn nhớ cảm ơn và vote 5*
nếu câu trả lời hữu ích nhé!
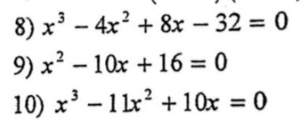
`x^3 -4x^2 + 8x -32 = 0`
`x^2(x - 4) +8(x -4) = 0`
`(x^2 + 8)(x -4 ) = 0`
`x^2 + 8 = 0` hoặc `x -4 = 0`
`x^2 = -8 (` Vô lí `)` hoặc`x = 4`
Vậy `x = 4`
`---`
`x^2 - 10x + 16 = 0`
`x^2 - 8x -2x + 16 = 0`
`x(x -8) -2(x -8) = 0`
`(x -2)(x -8) = 0`
`x -2 = 0` hoặc `x -8 = 0`
`x= 2` hoặc `x = 8`
Vậy `x in {2;8}`
`---`
`x^3 - 11x^2 + 10x = 0`
`x(x^2 - 11x + 10) = 0`
`x(x^2 -x -10x + 10) = 0`
`x(x - 1)(x- 10) = 0`
`x= 0` hoặc `x -1 = 0` hoặc `x - 10 = 0`
`x= 0` hoặc `x= 1` hoặc `x= 10`
Vây `x in{0;1;10}`
Hãy giúp mọi người biết câu trả lời này thế nào?

`8) x^3 - 4x^2 + 8x - 32 = 0`
`x^2( x - 4 ) + 8( x - 4 ) = 0`
`( x^2 + 8 )( x - 4 ) = 0`
`x - 4 = 0 hoặc x^2 + 8 = 0`
`x= 4 hoặc x^2 = -8` ( vô lý )
`Vậy x = 4`
`9) x^2 - 10x + 16 = 0`
`x^2 - 2x - 8x + 16 = 0`
`x( x - 2 ) - 8( x - 2 ) = 0`
`( x - 2 )( x - 8 ) = 0`
`x - 2 = 0 hoặc x - 8 = 0`
`x = 2 hoặc x = 8`
`Vậy x in { 2; 8 }`
`10) x^3 -11x^2 + 10x = 0`
`x( x^2 - 11x + 10 ) = 0`
`x( x^2 - x - 10x + 10 ) = 0`
`x[ x( x - 1 ) - 10( x - 1 ) ] = 0`
`x( x - 1 )( x - 10 ) = 0`
`x = 0 hoặc x - 1 = 0 hoặc x - 10 = 0`
`x = 0 hoặc x = 1 hoặc x = 10`
`Vậy x in { 0 ; 1 ; 10 }`
Hãy giúp mọi người biết câu trả lời này thế nào?

Bảng tin