

Hãy luôn nhớ cảm ơn và vote 5*
nếu câu trả lời hữu ích nhé!
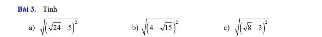
Bài `3:`
`a, \sqrt((\sqrt(24)-5)^2)`
`=|\sqrt(24)-5|`
`=5-\sqrt(24)`
`=5-\sqrt(4.6)`
`=5-2\sqrt(6)`
`b, \sqrt((4-\sqrt(15))^2)`
`=|4-\sqrt(15)|`
`=4-\sqrt(15)`
`c, \sqrt((\sqrt(8) -3)^2)`
`=|\sqrt(8)-3|`
`=3-\sqrt(8)`
`=3-\sqrt(4.2)`
`=3-2\sqrt(2)`
Hãy giúp mọi người biết câu trả lời này thế nào?
Đáp án:
Giải thích các bước giải:
Bài `3` :
`a)`
` \sqrt{(\sqrt{24 - 5})^2} `
`= | \sqrt{24} - 5 | `
`= 5 - \sqrt{24} `
`= 5 - 2\sqrt{6} `
``
`b)`
` \sqrt{(4 - \sqrt{15})^2} `
`= | 4 - \sqrt{15} | `
`= 4 - \sqrt{15} `
``
`c)`
` \sqrt{(\sqrt{8} - 3)^2}`
`= | \sqrt{8} - 3 | `
`= 3 - \sqrt{8} `
`= 3 - 2\sqrt{2}`
Hãy giúp mọi người biết câu trả lời này thế nào?
Bảng tin
1615
1002
1715
ùi nhìn cục đỏ đỏ của chị đẹp ghê
7104
109
3516
ủa tui cmon