

Hãy luôn nhớ cảm ơn và vote 5*
nếu câu trả lời hữu ích nhé!
Đáp án+Giải thích các bước giải:
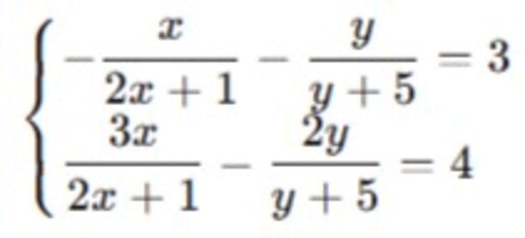
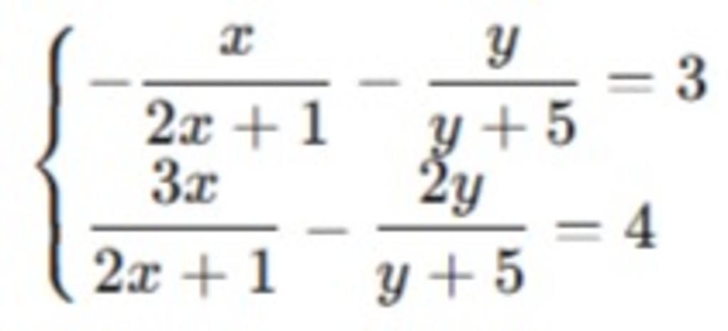
$\begin{cases} -\dfrac{x}{2x+1}-\dfrac{y}{y+5}=3\\\dfrac{3x}{2x+1}-\dfrac{2y}{y+5}=4\\ \end{cases}$ `(I)`
Điều kiện: `x\ne -1/2; y\ne-5`
Ta đặt: `a=\frac{x}{2x+1};b=\frac{y}{y+5}` Khi đó hệ `(I)` có dạng:
$\begin{cases} -a-b=3\\3a-2b=4\\ \end{cases}$
$\begin{cases} -3a-3b=9\\3a-2b=4\\ \end{cases}$
$\begin{cases} -5b=13\\-a-b=3\\ \end{cases}$
$\begin{cases} b=-\dfrac{13}{5}\\-a-(-\dfrac{13}{5})=3\\ \end{cases}$
$\begin{cases} b=-\dfrac{13}{5}\\-a=\dfrac{2}{5}\\ \end{cases}$
$\begin{cases} b=-\dfrac{13}{5}\\a=-\dfrac{2}{5}\\ \end{cases}$
Trở lại ẩn cũ ta được:
$\begin{cases} \dfrac{y}{y+5}=-\dfrac{13}{5}\\\dfrac{x}{2x+1}=-\dfrac{2}{5}\\ \end{cases}$
$\begin{cases} (y+5).(-13)=5y\\(2x+1).(-2)=x.5\\ \end{cases}$
$\begin{cases} -13y-65-5y=0\\-4x-2-5x=0\\ \end{cases}$
$\begin{cases} -18y=65\\-9x=2\\ \end{cases}$
$\begin{cases} y=-\dfrac{65}{18}\\x=-\dfrac{2}{9}\\ \end{cases}$ `(tmđk)`
Vậy hệ phương trình có nghiệm `(x;y)=(-2/9;-65/18)`
Hãy giúp mọi người biết câu trả lời này thế nào?
Bảng tin