

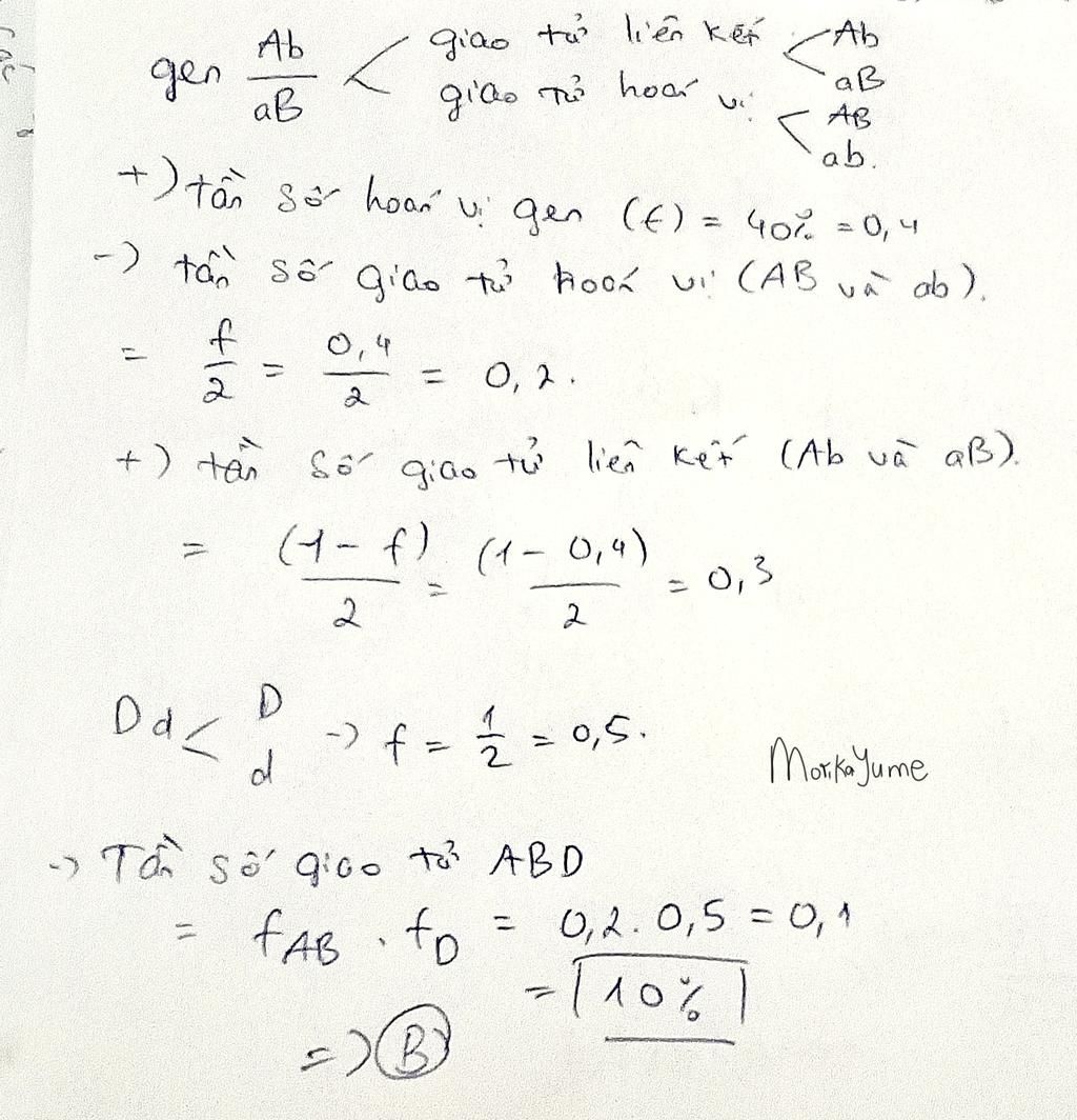
Môt cơ thể có kiểu gen $\frac{Ab}{aB}$ Dd tiến hành giảm phân có hoán vi gen với tần số 40%. Theo lí thuyết, loại giao tử ABD chiếm tỉ lê bao nhiêu?
A. 20%. B. 10%. C. 30%. D. 5%
Hãy luôn nhớ cảm ơn và vote 5*
nếu câu trả lời hữu ích nhé!
`+)` `(Ab)/(aB)` `(f = 40%)` giảm phân cho tỉ lệ giao tử:
$\underline{Ab}$ `=` $\underline{aB}$ `=` `0,5 - f/2 = 0,5 - (40%)/2 = 30%`
$\underline{AB}$ `=` $\underline{ab}$ `=` `f/2 = (40%)/2 = 20%`
`+)` `Dd` giảm phân cho tỉ lệ giao tử: `50%` `D` `:` `50%` `d.`
Theo lí thuyết, loại giao tử $\underline{AB}D$ chiếm tỉ lệ:
`20% × 50% = 10%`
⇒ Đáp án: `B.`
Hãy giúp mọi người biết câu trả lời này thế nào?

Bảng tin