Vui lòng chỉ chọn một câu hỏi
Hoidap247.com Nhanh chóng, chính xác
+
Danh mục mới
0
14
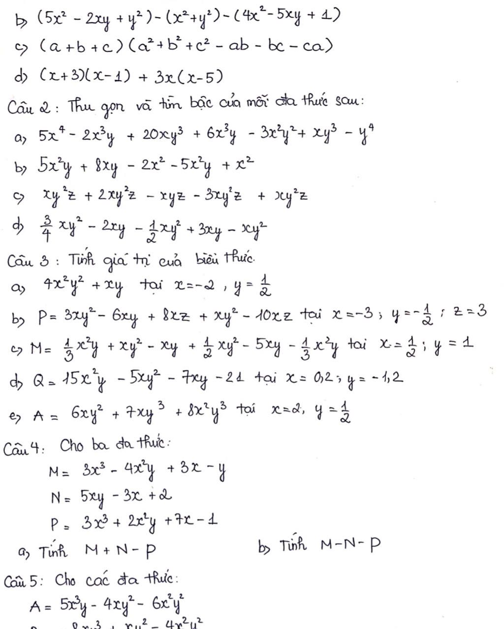
Giúp mik giải phiêua này vs
Hãy luôn nhớ cảm ơn và vote 5* nếu câu trả lời hữu ích nhé!
1767
13592
1554
Đáp án:
Giải thích các bước giải:
Hãy giúp mọi người biết câu trả lời này thế nào?
Xem thêm
Bảng tin
Gửi yêu cầu Hủy