

Hãy luôn nhớ cảm ơn và vote 5*
nếu câu trả lời hữu ích nhé!
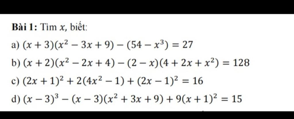
Bài `1`:
`a) (x+3). (x^2 - 3x +9) - (54 - x^3) = 27`
`<=> x^3 + 3^3 + x^3 - 54 = 27`
`<=> 2x^3= 54`
`<=> x^3 =27`
`<=> x^3 = 3^3`
`<=> x= 3`
Vậy `x=3`
`b) (x+2). (x^2 -2x +4) - (2-x). (4 + 2x + x^2) = 128`
`<=> x^3 + 2^3 - (2^3 - x^3) = 128`
`<=> x^3 + 8 + x^3 - 8 = 128`
`<=> 2x^3 = 128`
`<=> x^3 = 64`
`<=> x^3 = 4^3`
`<=> x= 4`
Vậy `x=4`
`c) (2x+1)^2 + 2. (4x^2 - 1) + (2x-1)^2 = 16`
`<=> 4x^2 + 4x +1 + 8x^2 - 2 + 4x^2 - 4x +1 = 16`
`<=> 16x^2 =16`
`<=> x^2 =1`
`<=> x = +-1`
Vậy `x= 1; x=-1`
`d) (x-3)^3 - (x-3). (x^2 + 3 x+9) + 9 . (x+1)^2 = 15`
`<=> x^3 - 3. x^2 . 3 + 3 .x . 3^2 - 3^3 - (x^3 - 3^3) + 9 . (x^2 +2 x+1) = 15`
`<=> x^3 - 9x^2 + 27x - 27 - x^3 + 27 + 9x^2 + 18x + 9 = 15`
`<=> 45x =6`
`<=> x=2/15`
Vậy `x= 2/15`.
Hãy giúp mọi người biết câu trả lời này thế nào?
![]()
`a)` `(x+3)(x^2-3x+9)-(54-x^3)=27`
`x^3+27-54+x^3-27=0`
`2x^3-54=0`
`2x^3=54`
`x^3=54:2`
`x^3=27`
`x^3=3^3``
`x=3`
Vậy `x=3`
``
`b)` `(x+2)(x^2-2x+4)-(2-x)(4+2x+x^2)=128`
`x^3+8-(8-x^3)=128`
`x^3+8-8+x^3=128`
`2x^3=128`
`x^3=64`
`x^3=4^3`
`x=4`
Vậy `x=4`
``
`c)``(2x+1)^2+2(4x^2-1)+(2x-1)^2=16`
`(2x+1)^2+2. (2x+1)(2x-1)+(2x-1)^2=16`
`(2x+1+2x-1)^2=16`
`(4x)^2=16`
`(4x)^2=4^2` hoặc `(4x)^2=(-4)^2`
`4x=4` hoặc `4x=-4`
`x=1` hoặc `x=-1`
Vậy `x=1; x=-1`
``
`d)` `(x-3)^3-(x-3)(x^2+3x+9)+9(x+1)^2=15`
`x^3-9x^2+27x-27-(x^3-27)+9(x^2+2x+1)=15`
`x^3-9x^2+27x-27-x^3+27+9x^2+18x+9=15`
`45x+9=15`
`45x=15-9`
`45x=6`
`x=6/45`
`x=2/15`
Vậy `x=2/15`
Hãy giúp mọi người biết câu trả lời này thế nào?
![]()
Bảng tin