

giúp với ạ giúp với ạ giúp với ạ giúp với ạ
Hãy luôn nhớ cảm ơn và vote 5*
nếu câu trả lời hữu ích nhé!
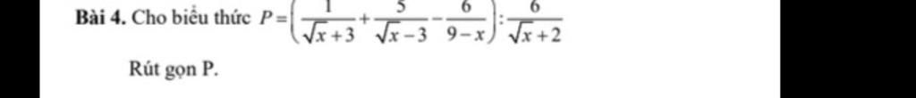
`P = (1/(\sqrt{x}+3)+5/(\sqrt{x}-3)-6/(9-x)) : 6/(\sqrt{x}+2)` ĐKXĐ `x \ne 9 ; x >= 0`
`P = ((\sqrt{x}-3)/((\sqrt{x}-3)(\sqrt{x}+3))+(5(\sqrt{x}+3))/((\sqrt{x}-3)(\sqrt{x}+3)) + 6/((\sqrt{x}-3)(\sqrt{x}+3))) . ( \sqrt{x} + 2 )/6`
`P = ( \sqrt{x} - 3 + 5\sqrt{x} + 15 + 6 )/((\sqrt{x}-3)(\sqrt{x}+3)) . (\sqrt{x} + 2 )/6`
`P = ( 6\sqrt{x} + 18 )/((\sqrt{x}-3)(\sqrt{x}+3)) . ( \sqrt{x} + 2 )/6`
`P = ( 6( \sqrt{x} + 3 ))/((\sqrt{x}-3)(\sqrt{x}+3)) . ( \sqrt{x} + 2 )/6`
`P = ( \sqrt{x} + 2 )/( \sqrt{x} - 3 )`
`Vậy P = ( \sqrt{x} + 2 )/( \sqrt{x} - 3 )` với `x >= 0 ; x \ne 9`
Hãy giúp mọi người biết câu trả lời này thế nào?

Đáp án:
Giải thích các bước giải:
Bài `4` :
`a)`
` P = ( 1\(sqrt{x} + 3) + 5/(sqrt{x} - 3) - 6/(9 - x) ) : 6/(\sqrt{x} + 2) ` `( x >= 0 ; x \ne 9 )`
` P = ( (\sqrt{x} - 3)/((\sqrt{x} - 3)(\sqrt{x} + 3)) + (5 (\sqrt{x} + 3))/((\sqrt{x} - 3)(\sqrt{x} + 3)) + 6/((\sqrt{x} - 3)(\sqrt{x} + 3)) ) : 6/(\sqrt{x} + 2) `
` P = (\sqrt{x} - 3 + 5\sqrt{x} + 15 + 6)/((\sqrt{x} - 3)(\sqrt{x} + 3)) : 6/(\sqrt{x} + 2)`
` P = (6\sqrt{x} + 18)/((\sqrt{x} - 3)(\sqrt{x} + 3)) * (\sqrt{x} + 2)/6 `
` P = (6 (\sqrt{x} + 3))/((\sqrt{x} - 3)(\sqrt{x} + 3)) * (\sqrt{x} + 2)/6 `
` P = (\sqrt{x} + 2)\(\sqrt{x} + 3)`
Vậy `P = (\sqrt{x} + 2)/(\sqrt{x} + 3)` `(x >= 0 ; x \ne 9)`
Hãy giúp mọi người biết câu trả lời này thế nào?

Bảng tin
641
241
77
rep mess a ơi
13079
36902
10614
à ok e
641
241
77
:///