Đăng nhập để hỏi chi tiết


Hãy luôn nhớ cảm ơn và vote 5*
nếu câu trả lời hữu ích nhé!
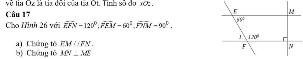
`a)`
Ta có: `hat{EFN}+hat{F_1}=180^o` (kề bù)
`=>hat{F_1}=180^o-hat{EFN}=180^o-120^o=60^o`
Ta có: `hat{MEF}=hat{F_1}=60^o`
Mà `2` góc ở vị trí sole trong
`=>EM////FN`
`b)`
Ta có: `EM////FN`
Mà `FN\botMN`
`=>MN\botME`
Hãy giúp mọi người biết câu trả lời này thế nào?
Bảng tin