

Hãy luôn nhớ cảm ơn và vote 5*
nếu câu trả lời hữu ích nhé!
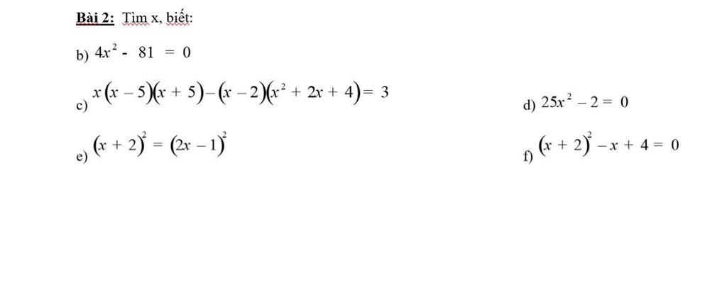
`b)4x^2 - 81 = 0`
`( 2x - 9 )( 2x + 9 ) = 0`
`2x - 9 = 0 hoặc 2x + 9 = 0`
`x = 9/2 hoặc x = -9/2`
`Vậy x in { 9/2 ; -9/2 }`
`c) x( x - 5 )( x + 5 ) - ( x - 2 )( x^2 + 2x + 4 ) = 3`
`x( x^2 - 25 ) - ( x^3 - 8 ) = 3`
`x^3 - 25x - x^3 + 8 = 3`
`25x = 5`
`x = 1/5`
`Vậy x = 1/5`
`d) 25x^2 -2 = 0`
`25x^2 = 2`
`x^2 = 2/25`
`x = ( +-\sqrt{2})/5`
`Vậy x in { ( +-\sqrt{2})/5 }`
`e) ( x + 2 )^2 = ( 2x - 1 )^2`
`x + 2 = 2x - 1 hoặc x + 2 = 1 - 2x`
`x = 3 hoặc 3x = -1`
`x = 3 hoặc x = -1/3`
`Vậy x in { 3 ; -1/3 }`
`f) ( x + 2 )^2 - x + 4 = 0`
`x^2 + 4x + 4 - x + 4 = 0`
`x^2 + 3x + 8 =0 `
`x^2 + 2 . 3/2x + 9/4 = -23/4`
`( x + 3/2 )^2 = -23/4` ( vô lý )
`Vậy x in ∅`
Hãy giúp mọi người biết câu trả lời này thế nào?
Đáp án$+$Giải thích các bước giải:
`2)`
`b)4x^2 - 81 = 0`
`(2x - 9)(2x + 9) = 0`
`TH1:`
`2x-9=0`
`2x=9`
`x = 9/2`
`TH2:`
`2x+9=0`
`2x=-9`
`x = -9/2`
Vậy `x\in{9/2;-9/2}`
`---------`
`c) x(x - 5)(x + 5) - (x - 2)(x^2 + 2x + 4) = 3`
`x^3 - 25x - (x^3 - 8) = 3`
`-25x + 8 = 3`
`x = 1/5`
Vậy `x=1/5`
`--------`
`d) 25x^2 - 2 = 0`
`25x^2=2`
`x^2 = 2/25 `
`x = sqrt{2/5}` hoặc `x=``\sqrt{-2/5}`
Vậy `x\in{sqrt{2/5};sqrt{-2/5}}`
`---------`
`e)(x + 2)^2 = (2x - 1)^2`
`x + 2 = 2x - 1` hoặc `x + 2 = -(2x - 1)`
`TH1:`
`x+2=2x-1`
`x-2x=-1-2`
`-x=-3`
` x = 3`
`TH2:`
`x+2=-2x+1`
`x+2x=1-2`
`3x=-1`
`x = -1/3`
Vậy `x\in{3;-1/3}`
`----------`
`f) (x + 2)^2 - x + 4 = 0 `
`x^2 + 4x + 4 - x + 4 = 0`
`x^2 + 3x + 8 = 0`
`Δ = 9 - 32 < 0`
`=>` Phương trình vô nghiệm
Vậy `x` vô nghiệm
Hãy giúp mọi người biết câu trả lời này thế nào?
cou ơi câu e-))
câu e của mik bị lỗi latex mik xl ạ
mik sửa r ạ
dạ ko sao mk cs pk tus âu mk nhắc thoi ạa
dạ vâng
Bảng tin
21
167
89
a meet ko ạa
13079
36902
10614
nãy a ms vào a ra r
13079
36902
10614
nhiều người thì a vào k thì thôi
21
167
89
à à ra ạ
13079
36902
10614
ra meet á
21
167
89
à dạ thí là nãy là a á hả
13079
36902
10614
ừm
21
167
89
dạ