

Hãy luôn nhớ cảm ơn và vote 5*
nếu câu trả lời hữu ích nhé!
`\color{#FF0000}{T}\color{#FF7F24}{i}\color{#FFFF00}{t}\color{#7FFF00}{u}\color{#00F5FF}{u}\color{#FF1493}{u}`
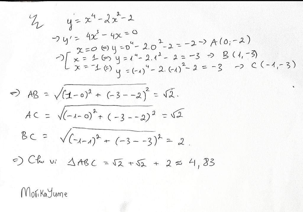
`y=x^4-2x^2-2`
`-> y'=4x^3-4x`
Xét `y'=4x^3-4x=0`
`-> 4x(x^2-1)=0`
`-> x=0` hoặc `x=1` hoặc `x=-1`
`-> y=-2` hoặc `y=-3` hoặc `y=-3`
`->` Các điểm cực trị là `A(0; -2), B(1; -3), C(-1; -3)`
Có `AB=\sqrt{(1-0)^2+[-3-(-2)]^2}=\sqrt{2}`
`AC=\sqrt{(-1-0)^2+[-3-(-2)]^2}=\sqrt{2}`
`BC=\sqrt{(-1-1)^2+[-3-(-3)]^2}=2`
`-> P_(ABC)=AB+AC+BC=2+2\sqrt{2} ~~ 4,83`
Hãy giúp mọi người biết câu trả lời này thế nào?
Bảng tin
499
2919
648
cho tui vào
0
0
0
jup vs ạ hoidap247.com/cau-hoi/8042477