

moi nguoi giup em voi a
Hãy luôn nhớ cảm ơn và vote 5*
nếu câu trả lời hữu ích nhé!
Đáp án:
Giải thích các bước giải:
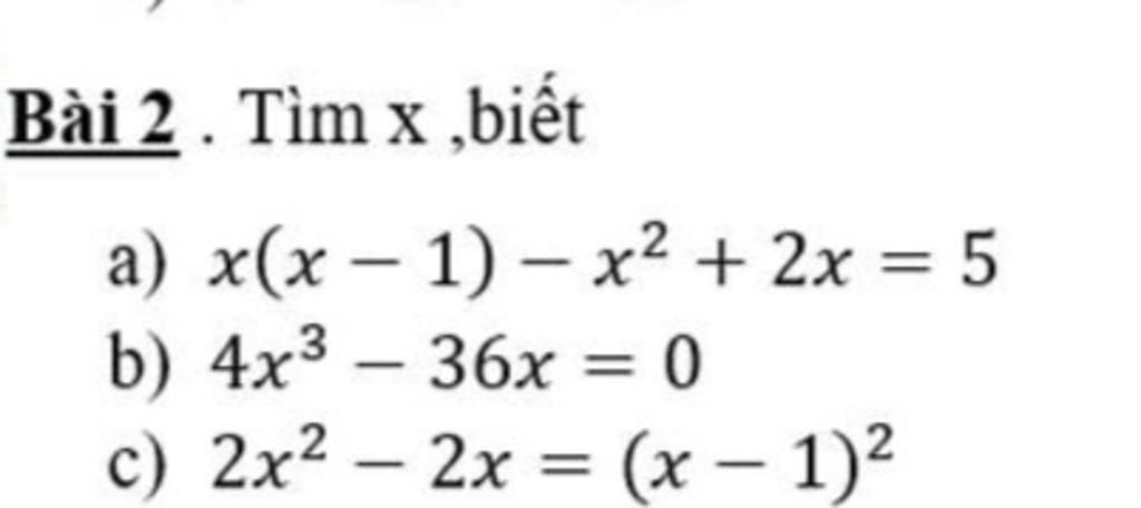
Bài `2` :
`a)`
` x ( x - 1 ) - x^2 + 2x = 5 `
` x^2 - x - x^2 + 2x = 5 `
` ( x^2 - x^2 ) + ( 2x - x ) = 5 `
` x = 5 `
Vậy `x = 5`
``
`b)`
` 4x^3 - 36x = 0 `
` 4x ( x^2 - 9 ) = 0 `
` 4x ( x - 3 ) ( x + 3 ) = 0 `
` 4x = 0` hoặc `x - 3 = 0` hoặc `x + 3 = 0`
` x = 0` hoặc `x = 3` hoặc `x = - 3`
Vậy ` x in { 0 ; +- 3 } `
``
`c)`
` 2x^2 - 2x = ( x - 1 )^2 `
` 2x ( x - 1 ) - ( x - 1 )^2 = 0 `
` ( x - 1 ) ( 2x - x + 1 ) = 0 `
` ( x - 1 ) ( x + 1 ) = 0 `
` x - 1 = 0` hoặc ` x + 1 = 0`
` x = 1` hoặc `x = - 1`
Vậy `x in { +- 1 } `
Hãy giúp mọi người biết câu trả lời này thế nào?
a) ` x(x-1) -x^2 + 2x =5`
`<=> x^2 -x -x^2 +2x =5`
`<=> x=5`
`=> S={5}`
b) `4x^3 -36x= 0 `
`<=> 4x (x^2 -9) =0`
`<=> 4x(x-3)(x+3) =0` (HĐT số 3)
TH1: `4x=0 <=> x=0`
TH2: `x-3=0 <=> x=3`
TH3: `x+3=0 <=> x=-3`
`=> S= {0;3;-3}`
c) `2x^2 -2x = (x-1)^2`
`<=> 2x^2 -2x = x^2 -2x +1` (HĐT số 2)
`<=> x^2 -1=0`
`<=> (x-1)(x+1) =0`
\(\left[ \begin{array}{l}x-1=0\\x+1=0\end{array} \right.\)
`=>` \(\left[ \begin{array}{l}x=1\\x=-1\end{array} \right.\)
`=> S={1;-1}`
Hãy giúp mọi người biết câu trả lời này thế nào?
Bảng tin
240
438
187
sai bét
2035
18361
1413
sai chỗ nào thể nhri ?
240
438
187
câu c kìa
2035
18361
1413
oke sửa r
2035
18361
1413
thanks ạ
240
438
187
oki