

Hãy luôn nhớ cảm ơn và vote 5*
nếu câu trả lời hữu ích nhé!
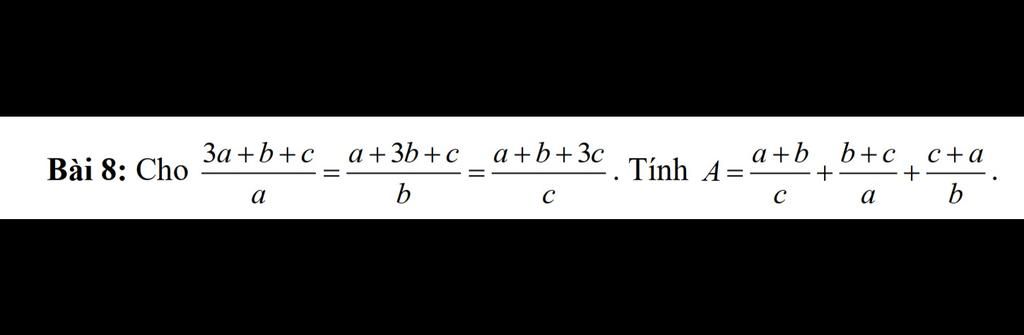
Áp dụng t/c dãy tỉ số bằng nhau ta có:
`( 3a + b + c )/a = ( a + 3b + c )/b = ( a + b + 3c )/c = ( 5( a + b + c ))/( a + b + c ) = 5`
`=> {( 3a + b + c = 5a ),( a + 3b + c = 5b ),( a + b + 3c = 5c ):}`
`{( b + c = 2a ),( a + c = 2b ),( a + b = 2c ):}`
`{(( b + c )/a = 2 ),(( a + c )/b = 2 ),( ( a + b )/c = 2 ):}`
Ta có: `A = ( a + b )/c + ( b + c )/a + ( c + a )/b = 2 + 2 + 2 = 6`
Hãy giúp mọi người biết câu trả lời này thế nào?
Đáp án$+$Giải thích các bước giải:
`8)`
Ta có: `(3a + b + c)/a = (a + 3b + c)/b = (a + b + 3c)/c`
Gọi giá trị chung của các biểu thức trên là `k,` ta có:
`3a + b + c = ak`
`a + 3b + c = bk`
`a + b + 3c = ck`
Cộng ba phương trình lại, ta được:
`(3a + b + c) + (a + 3b + c) + (a + b + 3c) = ak + bk + ck`
`=>` `5(a+b+c)=k(a+b+c)`
Nếu `a + b + c` `\ne 0` thì chia hai vế cho `(a + b + c),` ta được: `k = 5`
Thay `k=5` vào một trong ba phương trình, ta được:
`3a + b + c = 5a`
`=>b + c = 2a`
Từ phương trình thứ hai, ta được:
`a + 3b + c = 5b`
`=> a + c = 2b`
Từ phương trình thứ ba, ta được:
`a + b + 3c = 5c `
`=> a + b = 2c`
`A = (a + b)/c + (b + c)/a + (c + a)/b`
Ta có:
`a + b = 2c -> (a + b)/c = 2 `
`b + c = 2a -> (b + c)/a = 2`
`c + a = 2b -> (c + a)/b = 2`
$\longrightarrow$ `A = 2 + 2 + 2 = 6`
Vậy `A=6`
Hãy giúp mọi người biết câu trả lời này thế nào?
Bảng tin