

Hãy luôn nhớ cảm ơn và vote 5*
nếu câu trả lời hữu ích nhé!
Đáp án + Giải thích các bước giải:
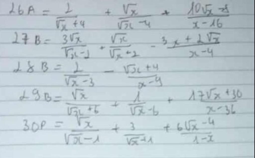
`26)`
`A=2/(sqrt(x)+4)+(sqrt(x))/(sqrt(x)-4)+(10sqrt(x)-8)/(x-16)`
ĐKXĐ: `xge0;x-16ne0->xne16`
`A=(2(sqrt(x)-4))/((sqrt(x)+4)(sqrt(x)-4))+(sqrt(x)(sqrt(x)+4))/((sqrt(x)-4)(sqrt(x)+4))+(10sqrt(x)-8)/((sqrt(x)-4)(sqrt(x)+4))`
`A=((2sqrt(x)-8)+(x+4sqrt(x))+(10sqrt(x)-8))/((sqrt(x)+4)(sqrt(x)-4))`
`A=(2sqrt(x)-8+x+4sqrt(x)+10sqrt(x)-8)/((sqrt(x)+4)(sqrt(x)-4))`
`A=(16sqrt(x)+x-16)/((sqrt(x)+4)(sqrt(x)-4))`
`A=(x-16)/(x-16)+(16sqrt(x))/(x-16)`
`A=1+(16sqrt(x))/(x-16)`
`27)`
`B=(3sqrt(x))/(sqrt(x)-2)+(sqrt(x))/(sqrt(x)+2)-(3x+3sqrt(x))/(x-4)`
ĐKXĐ: `xge0;x-4ne0->xne4`
`B=(3sqrt(x)(sqrt(x)+2))/((sqrt(x)-2)(sqrt(x)+2))+(sqrt(x)(sqrt(x)-2))/((sqrt(x)-2)(sqrt(x)+2))-(3x+3sqrt(x))/((sqrt(x)-2)(sqrt(x)+2))`
`B=((3+6sqrt(x))+(x-2sqrt(x))-(3x+3sqrt(x)))/((sqrt(x)-2)(sqrt(x)+2))`
`B=(3+6sqrt(x)+x-2sqrt(x)-3x+3sqrt(x))/((sqrt(x)-2)(sqrt(x)+2))`
`B=(-2x+7sqrt(x)+3)/((sqrt(x)-2)(sqrt(x)+2))`
`B=(-2x+8)/(x-4)+(7sqrt(x)-5)/(x-4)`
`B=-2+(7sqrt(x)-5)/(x-4)`
`28)`
`B=(2)/(sqrt(x)-3)-(sqrt(x)+4)/(x-4)`
ĐKXĐ: `xge0;{(sqrt(x)-3ne0->sqrt(x)ne3->xne9),(x-4ne0->xne4):}`
`B=(2(x-4))/((sqrt(x)-3)(x-4))-((sqrt(x)-3)(sqrt(x)+4))/((sqrt(x)-3)(x-4))`
`B=((2x-8)-(x+4sqrt(x)-3sqrt(x)-12))/((sqrt(x)-3)(x-4))`
`B=(2x-8-x-sqrt(x)+12)/((sqrt(x)-3)(x-4))`
`B=(x-sqrt(x)+4)/((sqrt(x)-3)(x-4))`
`B=((sqrt(x)-2)^2)/((sqrt(x)-3)(x-4))`
`29)`
`B=(sqrt(x))/(sqrt(x)+6)+1/(sqrt(x)-6)+(17sqrt(x)+30)/(x-36)`
ĐKXĐ: `xge0;x-36ne0->xne36`
`B=(sqrt(x)(sqrt(x)-6))/((sqrt(x)+6)(sqrt(x)-6))+(1(sqrt(x)+6))/((sqrt(x)+6)(sqrt(x)-6))+(17sqrt(x)+30)/((sqrt(x)+6)(sqrt(x)-6))`
`B=((x-6sqrt(x))+(sqrt(x)+6)+(17sqrt(x)+30))/((sqrt(x)+6)(sqrt(x)-6))`
`B=(x-6sqrt(x)+sqrt(x)+6+17sqrt(x)+30)/((sqrt(x)+6)(sqrt(x)-6))`
`B=(x+12sqrt(x)+36)/((sqrt(x)+6)(sqrt(x)-6))`
`B=((sqrt(x)+6)^2)/((sqrt(x)+6)(sqrt(x)-6))`
`B=(sqrt(x)+6)/(sqrt(x)-6)`
`30)`
`P=(sqrt(x))/(sqrt(x)-1)+(3)/(sqrt(x)+1)+(6sqrt(x)-4)/(1-x)`
ĐKXĐ: `xge0;1-xne0->xne31`
`P=(sqrt(x)(sqrt(x)+1))/((sqrt(x)-1)(sqrt(x)+1))+(3(sqrt(x)-1))/((sqrt(x)-1)(sqrt(x)+1))-(6sqrt(x)-4)/((sqrt(x)-1)(sqrt(x)+1))`
`P=((x+sqrt(x))+(3sqrt(x)-3)-(6sqrt(x)-4))/((sqrt(x)-1)(sqrt(x)+1))`
`P=(x+sqrt(x)+3sqrt(x)-3-6sqrt(x)+4)/((sqrt(x)-1)(sqrt(x)+1))`
`P=(x-2sqrt(x)+1)/((sqrt(x)-1)(sqrt(x)+1))`
`P=((sqrt(x)-1)^2)/((sqrt(x)-1)(sqrt(x)+1))`
`P=(sqrt(x)-1)/(sqrt(x)+1)`
`\color{#FFB3B3}{\star} \color{#FF9A9A}{\star} \color{#FF8080}{\star} \color{#FF6B6B}{\star} \color{#4682B4}{p} \color{#5A9BD5}{h} \color{#6EAEE8}{a} \color{#87CEFA}{m} \color{#6EAEE8}{m} \color{#5A9BD5}{a} \color{#4682B4}{n} \color{#5A9BD5}{h} \color{#6EAEE8}{h} \color{#87CEFA}{u} \color{#6EAEE8}{n} \color{#5A9BD5}{g} \color{#FF6B6B}{\star} \color{#FF8080}{\star} \color{#FF9A9A}{\star} \color{#FFB3B3}{\star}`
Hãy giúp mọi người biết câu trả lời này thế nào?

Bảng tin
2
183
1
càm xa mi taaaa
716
7255
296
vâng không có gì
1204
466
1205
trăm thế ^^