

Hãy luôn nhớ cảm ơn và vote 5*
nếu câu trả lời hữu ích nhé!
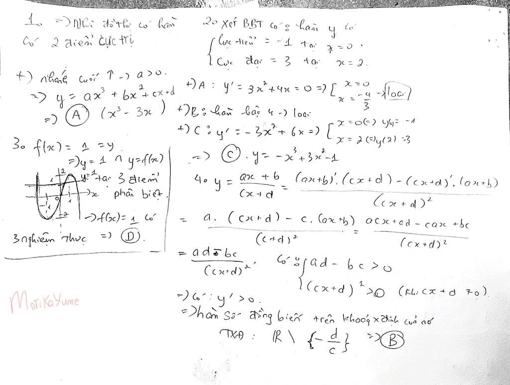
Câu 1:
- Dựa vào đồ thị, nhận thấy đồ thị hàm số trên là hàm bậc 3.
Loại C; D
- Phần ngoài cùng bên phải đồ thị tiến tới `+oo`
Loại `B`
`->` Chọn `A`
` `
Câu 2:
- Phần ngoài cùng bên phải của bảng biến thiên tiến tới `-oo`
Loại A; D
- Hàm số trên chỉ có hai nghiệm, không thể là hàm bậc 4
Loại B
`->` Chọn `C`
` `
Câu 3:
`f(x)=1` cắt đồ thị tại 3 nghiệm phân biệt
`->` Chọn `D`
` `
Câu 4:
Dựa vào giả thiết, nhận thấy hàm phân thức bậc nhất đồng biến.
Hàm số này không liên tục và không có khoảng nghịch biến.
`->` Chọn `D`
Hãy giúp mọi người biết câu trả lời này thế nào?
Bảng tin