

hộ em với mng ơiiiiiiiiiiiiiiiiiiiiiiiiiiiiiiiii
Hãy luôn nhớ cảm ơn và vote 5*
nếu câu trả lời hữu ích nhé!
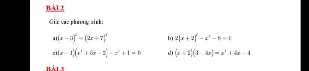
`a)`
`(x-3)^2=(2x+7)^2`
`(x-3)^2-(2x+7)^2=0`
`(x-3-2x-7)(x-3+2x+7)=0`
`(-x-10)(3x+4)=0`
`-x-10=0` hoặc `3x+4=0`
`-x=10` hoặc `3x=-4`
`x=-10` hoặc `x=-4/3`
Vậy `S={-10;-4/3}`
`b)`
`2(x+2)^2-x^3-8=0`
`2(x+2)^2-(x^3+8)=0`
`2(x+2)^2-(x+2)(x^2-2x+4)=0`
`(x+2)[2(x+2)-(x^2-2x+4)]=0`
`(x+2)(2x+4-x^2+2x-4)=0`
`(x+2)(-x^2+4x)=0`
`-x(x+2)(x-4)=0`
`-x=0` hoặc `x+2=0` hoặc `x-4=0`
`x=0` hoặc `x=-2` hoặc `x=4`
Vậy `S={0;-2;4}`
`c)`
`(x-1)(x^2+5x-2)-x^3+1=0`
`(x-1)(x^2+5x-2)-(x^3-1)=0`
`(x-1)(x^2+5x-2)-(x-1)(x^2+x+1)=0`
`(x-1)(x^2+5x-2-x^2-x-1)=0`
`(x-1)(4x-3)=0`
`x-1=0` hoặc `4x-3=0`
`x=1` hoặc `x=3/4`
Vậy `S={1;3/4}`
`d)`
`(x+2)(3-4x)=x^2+4x+4`
`(x+2)(3-4x)=(x+2)^2`
`(x+2)(3-4x)-(x+2)^2=0`
`(x+2)(3-4x-x-2)=0`
`(x+2)(-5x+1)=0`
`x+2=0` hoặc `-5x+1=0`
`x=-2` hoặc `x=1/5`
Vậy `S={-2;1/5}`
Hãy giúp mọi người biết câu trả lời này thế nào?
Đáp án:
Giải thích các bước giải:
`a)`
` ( x - 3 )^2 = ( 2x + 7 )^2 `
` ( x - 3 )^2 - ( 2x + 7 )^2 = 0 `
` ( x - 3 - 2x - 7 ) ( x - 3 + 2x + 7 ) = 0 `
` ( - x - 10 ) ( 3x + 4 ) = 0 `
` - x - 10 = 0` hoặc `3x + 4 = 0`
` - x = 10` hoặc `3x = - 4`
` x = - 10` hoặc `x = - 4/3`
Vậy nghiệm của pt là : ` S in { - 10 ; - 4/3 } `
``
`b)`
` 2 ( x + 2 )^2 - x^3 - 8 = 0 `
` 2 ( x + 2 )^2 - ( x^3 + 8 ) = 0 `
` 2 ( x + 2 )^2 - ( x + 2 ) ( x^2 - 2x + 4 ) = 0 `
` ( x + 2 ) [ 2 ( x + 2 ) - ( x^2 - 2x + 4 ) ] = 0 `
` ( x + 2 ) ( 2x + 4 - x^2 + 2x - 4 ) = 0 `
` ( x + 2 ) ( - x^2 + 4x ) = 0 `
` - x ( x + 2 ) ( x - 4 ) = 0 `
` - x = 0` hoặc ` x + 2 = 0` hoặc ` x - 4 = 0 `
` x = 0` hoặc ` x = - 2` hoặc ` x = 4`
Vậy nghiệm của pt là : ` S in { 0 ; - 2 ; 4 } `
``
`c)`
` ( x - 1 ) ( x^2 + 5x - 2 ) - x^3 + 1 = 0 `
` ( x - 1 ) ( x^2 + 5x - 2 ) - ( x^3 - 1 ) = 0 `
` ( x - 1 ) ( x^2 + 5x - 2 ) - ( x - 1 ) ( x^2 + x + 1 ) = 0 `
` ( x - 1 ) ( x^2 + 5x - 2 - x^2 - x - 1 ) = 0 `
` ( x - 1 ) ( 4x - 3 ) = 0 `
` x - 1 = 0` hoặc `4x - 3 = 0 `
` x = 1` hoặc `4x = 3`
` x = 1` hoặc `x = 3/4`
Vậy nghiệm của pt là : `S in { 1 ; 3/4 } `
``
`d)`
` ( x + 2 ) ( 3 - 4x ) = x^2 + 4x + 4 `
` ( x + 2 ) ( 3 - 4x ) - ( x^2 + 4x + 4 ) = 0 `
` ( x + 2 ) ( 3 - 4x ) - ( x + 2 )^2 = 0 `
` ( x + 2 ) ( 3 - 4x - x - 2 ) = 0 `
` ( x + 2 ) ( - 5x + 1 ) = 0 `
` x + 2 = 0` hoặc `- 5x + 1 = 0`
` x = - 2` hoặc `- 5x = - 1 `
` x = - 2` hoặc `x = 1/5`
Vậy nghiệm của pt là : `S in { - 2 ; 1/5 } `
Hãy giúp mọi người biết câu trả lời này thế nào?
Bảng tin