

Hãy luôn nhớ cảm ơn và vote 5*
nếu câu trả lời hữu ích nhé!
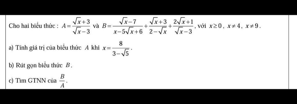
a
$x = \dfrac{8}{3-\sqrt{5}} = \dfrac{8(3+\sqrt{5})}{(3-\sqrt{5})(3+\sqrt{5})} = \dfrac{8(3+\sqrt{5})}{9-5} = \dfrac{8(3+\sqrt{5})}{4} = 2(3+\sqrt{5}) = 6+2\sqrt{5}$
$x = (\sqrt{5}+1)^2$
$\Rightarrow \sqrt{x} = \sqrt{(\sqrt{5}+1)^2} = |\sqrt{5}+1| = \sqrt{5}+1$
$A = \dfrac{\sqrt{x}+3}{\sqrt{x}-3} = \dfrac{\sqrt{5}+1+3}{\sqrt{5}+1-3} = \dfrac{\sqrt{5}+4}{\sqrt{5}-2}$
$A = \dfrac{(\sqrt{5}+4)(\sqrt{5}+2)}{(\sqrt{5}-2)(\sqrt{5}+2)} = \dfrac{5+2\sqrt{5}+4\sqrt{5}+8}{5-4} = \dfrac{13+6\sqrt{5}}{1} = 13+6\sqrt{5}$
Vậy khi $x = \dfrac{8}{3-\sqrt{5}}$ thì $A = 13+6\sqrt{5}$
b
$B = \dfrac{\sqrt{x}-7}{x-5\sqrt{x}+6} + \dfrac{\sqrt{x}+3}{2-\sqrt{x}} + \dfrac{2\sqrt{x}+1}{\sqrt{x}-3}$
$B = \dfrac{\sqrt{x}-7}{(\sqrt{x}-2)(\sqrt{x}-3)} - \dfrac{\sqrt{x}+3}{\sqrt{x}-2} + \dfrac{2\sqrt{x}+1}{\sqrt{x}-3}$
$B = \dfrac{\sqrt{x}-7 - (\sqrt{x}+3)(\sqrt{x}-3) + (2\sqrt{x}+1)(\sqrt{x}-2)}{(\sqrt{x}-2)(\sqrt{x}-3)}$
$B = \dfrac{\sqrt{x}-7 - (x-9) + (2x-4\sqrt{x}+\sqrt{x}-2)}{(\sqrt{x}-2)(\sqrt{x}-3)}$
$B = \dfrac{\sqrt{x}-7-x+9+2x-3\sqrt{x}-2}{(\sqrt{x}-2)(\sqrt{x}-3)}$
$B = \dfrac{x-2\sqrt{x}}{(\sqrt{x}-2)(\sqrt{x}-3)} = \dfrac{\sqrt{x}(\sqrt{x}-2)}{(\sqrt{x}-2)(\sqrt{x}-3)} = \dfrac{\sqrt{x}}{\sqrt{x}-3}$
c
c
$\dfrac{B}{A} = \dfrac{\dfrac{\sqrt{x}}{\sqrt{x}-3}}{\dfrac{\sqrt{x}+3}{\sqrt{x}-3}} = \dfrac{\sqrt{x}}{\sqrt{x}-3} \times \dfrac{\sqrt{x}-3}{\sqrt{x}+3} = \dfrac{\sqrt{x}}{\sqrt{x}+3}$
Đặt $t = \sqrt{x}$ (với $t \geq 0, t \neq 2, t \neq 3$)
$\dfrac{B}{A} = \dfrac{t}{t+3} = \dfrac{t+3-3}{t+3} = 1 - \dfrac{3}{t+3}$
Để $\dfrac{B}{A}$ đạt MIN thì $\dfrac{3}{t+3}$ đạt MAX
<=> $t+3$ đạt MIN.
Do $t = \sqrt{x} \geq 0$ và $t \neq 2, t \neq 3$.
Vì $x \geq 0, x \neq 4, x \neq 9$
$t+3 \geq 3$
Dấu "=" xảy ra khi $t=0 \Leftrightarrow x=0$.
Vậy GTNN của $\dfrac{B}{A}$ là $1 - \dfrac{3}{0+3} = 1-1=0$
Hãy giúp mọi người biết câu trả lời này thế nào?
Bảng tin