Vui lòng chỉ chọn một câu hỏi
Hoidap247.com Nhanh chóng, chính xác
+
Danh mục mới
11
124
5
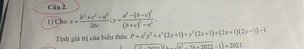
Giải nhanh giúp tớ , 15ph nữa đi học rồi
Xem thêm:
Bảng tin
Gửi yêu cầu Hủy