

Hãy luôn nhớ cảm ơn và vote 5*
nếu câu trả lời hữu ích nhé!
Đáp án + Giải thích các bước giải:
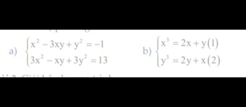
$\textbf{a}\bigg)$
$\begin {cases} x^2 - 3xy + y^2 = -1\\ 3x^2 - xy + 3y^2 = -13 \end {cases}$
$\begin {cases} 3x^2 - 9xy + 3y^2 = -3 \\ 3x^2 - xy + 3y^2 = 13 \end {cases}$
$\begin {cases} 3x^2 - 9xy + 3y^2 - 3x^2 + xy - 3y^2 = -16 \\ 3x^2 - xy + 3y^2 = 13 \end {cases}$
$\begin {cases} -8xy = -16 \\ 3x^2 - xy + 3y^2 = 13 \end {cases}$
$\begin {cases} xy = 2 \\ 3x^2 - 2 + 3y^2 = 13 \end {cases}$
$\begin {cases} xy = 2 \\ 3x^2 + 3y^2 = 15 \end {cases}$
$\begin {cases} xy = 2 \\ 3x^2 - 6xy + 3y^2 = 3 \end {cases}$
$\begin {cases} xy = 2 \\ x^2 - 2xy + y^2 = 1 \end {cases}$
$\begin {cases} xy = 2 (*) \\ (x - y)^2 = 1 \end {cases}$
$\textbf{TH}_1: x - y = 1$, suy ra $x = y + 1$
Thay $x = y + 1$ vào $(*)$, ta được:
$y(y + 1) = 2$
$y^2 + y - 2 = 0$
$(y - 1)(y + 2) = 0$
$y = 1$ hoặc $y = -2$
Suy ra $x = 1 + 1 = 2$ hoặc $x = -2 + 1 =- 1$
$\textbf{TH}_2: x - y = -1$, suy ra $x = y - 1$
Thay $y = x + 1$ vào $(*)$, ta được:
$y(y - 1) = 2$
$y^2 - y - 2 = 0$
$(y + 1)(y - 2) = 0$
$y = -1$ hoặc $y = 2$
Suy ra $x = -1 - 1 = -2$ hoặc $x = 2 - 1 = 1$
Vậy hệ phương trình có các nghiệm $(x; y)$ là $(2; 1), (-1; -2), (-2; -1), (1; 2)$
$\textbf{b}\bigg)$
$\begin {cases} x^3 = 2x + y (1) \\ y^3 = 2y + x (2)\end {cases}$
$\begin {cases} x^3 - y^3 = 2x + y - 2y - x \\ y^3 = 2y + x \end {cases}$
$\begin {cases} x^3 - y^3 = x - y\\ y^3 = 2y + x \end {cases}$
$\begin {cases} (x - y)(x^2 + xy +y^2) - (x - y) = 0\\ y^3 = 2y + x \end {cases}$
$\begin {cases} (x - y)(x^2 + xy +y^2 - 1) = 0 \\ y^3 = 2y + x \end {cases}$
$\textbf{TH}_1: x - y = 0$, hay $x = y$
Thay $x = y$ vào $(2)$, ta có:
$x^3 = 2x + x$
$x^3 = 3x$
$x^3- 3x = 0$
$x(x^2 - 3) = 0$
$x = 0$ hoặc $x^2 = 3$
$x = 0$ hoặc $x = \pm \sqrt{3}$
Suy ra $y = 0$ hoặc $y = \pm \sqrt{3}$
$\textbf{TH}_2: x^2 + xy + y^2 - 1 = 0$
$x^2 + xy + y^2 = 1$
Lấy $(1) +(2)$, ta được:
$x^3 + y^3 = 2x + 2y + y + x$
$(x + y)(x^2 - xy + y^2) = 3(x + y)$
$(x + y)(x^2 - xy + y^2 - 3) = 0$
$\textbf{TH}_{2a}: x + y = 0$, suy ra $x = -y$
Thay $x = -y$ vào $(1)$, ta được:
$-y^3 = -2y + y$
$-y^3 = -y$
$y - y^3 = 0$
$y(1 - y^2) = 0$
$y = 0$ hoặc $y^2 = 1$
$y = 0$ hoặc $y = \pm 1$
Suy ra $x = 0$ hoặc $x = \mp 1$
$\textbf{TH}_{2b}: x^2 - xy + y^2 - 3 = 0$
$x^2 -xy + y^2 = 3$
$x^2 - xy + y^2 + x^2 + xy + y^2 = 3 + 1$
$2x^2 + 2y^2 = 4$
$x^2 + y^2 = 2$
$x^2 + y^2 - (x^2 - xy + y^2) = 2 - 3$
$x^2 + y^2 - x^2 + xy - y^2 = -1$
$xy = -1$
$x^2 + 2xy + y^2 = 2 - 2 = 0$
$(x + y)^2 = 0$
$x + y = 0$
Lúc này quay về $\textbf{TH}_{2a}$ để thu được nghiệm $(0; 0), (1; -1)$ và $(-1; 1)$
Vậy hệ phương trình có các nghiệm $(x; y)$ là
$(0; 0), (\sqrt{3}; \sqrt{3}), (-\sqrt{3}; -\sqrt{3}), (1; -1)$ và $(-1; 1)$
Hãy giúp mọi người biết câu trả lời này thế nào?
`{(x^2-3xy+y^2=-1 (1)),(3x^2-xy+3y^2=13):}`
Nhân `(1)` với `3`, ta có:
`{(3x^2-9xy+3y^2=-3),(3x^2-xy+3y^2=13):}`
Trừ `2` pt theo vế, ta có:
`-8xy=-16`
`xy=2`
Thay `xy=2` vào `3x^2-xy+3y^2=13`, ta có:
`3x^2-2+3y^2=13`
`3x^2+3y^2=15`
`3(x^2+y^2)=15`
`x^2+y^2=5`
`x^2+2xy+y^2-2xy=5`
`(x+y)^2-2·2=5`
`(x+y)^2-4=5`
`(x+y)^2=9`
`Th1: x+y=3=>x=3-y`
Thay `x=3-y` vào `xy=2`, ta có:
`y(3-y)=2`
`3y-y^2=2`
`-y^2+3y-2=0`
`y^2-3y+2=0`
`y^2-2y-y+2=0`
`y(y-2)-(y-2)=0`
`(y-1)(y-2)=0`
`y=1` hoặc `y=2`
Với `y=1`, ta có: `x=3-1=2`
Với `y=2`, ta có: `x=3-2=1`
`Th2:x+y=-3=>x=-3-y`
Thay `-3-y` vào `xy=2`, ta có:
`y(-3-y)=2`
`-3y-y^2=2`
`-y^2-3y-2=0`
`y^2+3y+2=0`
`y^2+2y+y+2=0`
`y(y+2)+(y+2)=0`
`(y+1)(y+2)=0`
`y=-1` hoặc `y=-2`
Với `y=-1`, ta có: `x=-3-(-1)=-3+1=-2`
Với `y=-2`, ta có: `x=-3-(-2)=-3+2=-1`
Vậy `(x;y)={(-2;-1);(-1;-2);(2;1);(1;2)}`
`b)`
`{(x^3=2x+y (1)),(y^3=2y+x (2)):}`
Cộng `2` pt theo vế, ta có:
`x^3+y^3=2x+y+2y+x`
`(x+y)(x^2-xy+y^2)=3x+3y`
`(x+y)(x^2-xy+y^2)-3(x+y)=0`
`(x+y)(x^2-xy+y^2-3)=0`
`Th1:`
`x+y=0
`x=-y`
Thay `x=-y` vào `(1)`, ta có:
`(-y)^3=2·(-y)+y`
`-y^3=-2y+y`
`-y^3=-y`
`-y^3+y=0`
`y^3-y=0`
`y(y^2-1)=0`
`y=0` hoặc `y=1` hoặc `y=-1`
Với `y=0`, ta có: `x=-0=0`
Với `y=1`, ta có: `x=-1=-1`
Với `y=-1`, ta có: `x=-(-1)=1`
`Th2:`
`x^2-xy+y^2-3=0 (3)`
Trừ `2` pt `(1);(2)` theo vế, ta có:
`x^3-y^3=2x+y-2y-x`
`(x-y)(x^2+xy+y^2)=x-y`
`(x-y)(x^2+xy+y^2)-(x-y)=0`
`(x-y)(x^2+xy+y^2-1)=0`
`Th1:`
`x-y=0`
`x=y`
Thay `x=y` vào `(1)`, ta có:
`y^3=2y+y`
`y^3=3y`
`y^3-3y=0`
`y(y^2-3)=0`
`y=0` hoặc `y=\sqrt{3}` hoặc `y=-\sqrt{3}`
Với `y=0`, ta có: `x=0`
Với `y=\sqrt{3}`, ta có: `x=\sqrt{3}`
Với `y=-\sqrt{3}`, ta có: `x=-\sqrt{3}`
`Th2:`
`x^2+xy+y^2-1=0 (4)`
Trừ `2` pt `(3);(4)` theo vế, ta có:
`x^2-xy+y^2-3-x^2-xy-y^2+1=0`
`-2xy-2=0`
`-2xy=2`
`xy=-1`
Thay `xy=-1` vào `(3)`, ta có:
`x^2-(-1)+y^2-3=0`
`x^2+1+y^2-3=0`
`x^2+y^2-2=0`
`x^2+y^2=2`
`x^2+2xy+y^2=2+2xy`
`(x+y)^2=2+2·(-1)`
`(x+y)^2=2-2`
`(x+y)^2=0`
`x+y=0`
`x=-y`
Thay `x=-y` vào `(1)`, ta có:
`(-y)^3=2·(-y)+y`
`-y^3=-2y+y`
`-y^3=-y`
`-y^3+y=0`
`y^3-y=0`
`y(y^2-1)=0`
`y=0` hoặc `y=1` hoặc `y=-1`
Với `y=0`, ta có: `x=-0=0`
Với `y=1`, ta có: `x=-1=-1`
Với `y=-1`, ta có: `x=-(-1)=1`
Vậy `(x;y)={(0;0);(-1;1);(1;1);(\sqrt{3};-\sqrt{3});(-\sqrt{3};\sqrt{3})`
Hãy giúp mọi người biết câu trả lời này thế nào?
Bảng tin