

Hãy luôn nhớ cảm ơn và vote 5*
nếu câu trả lời hữu ích nhé!

Giải thích các bước giải:
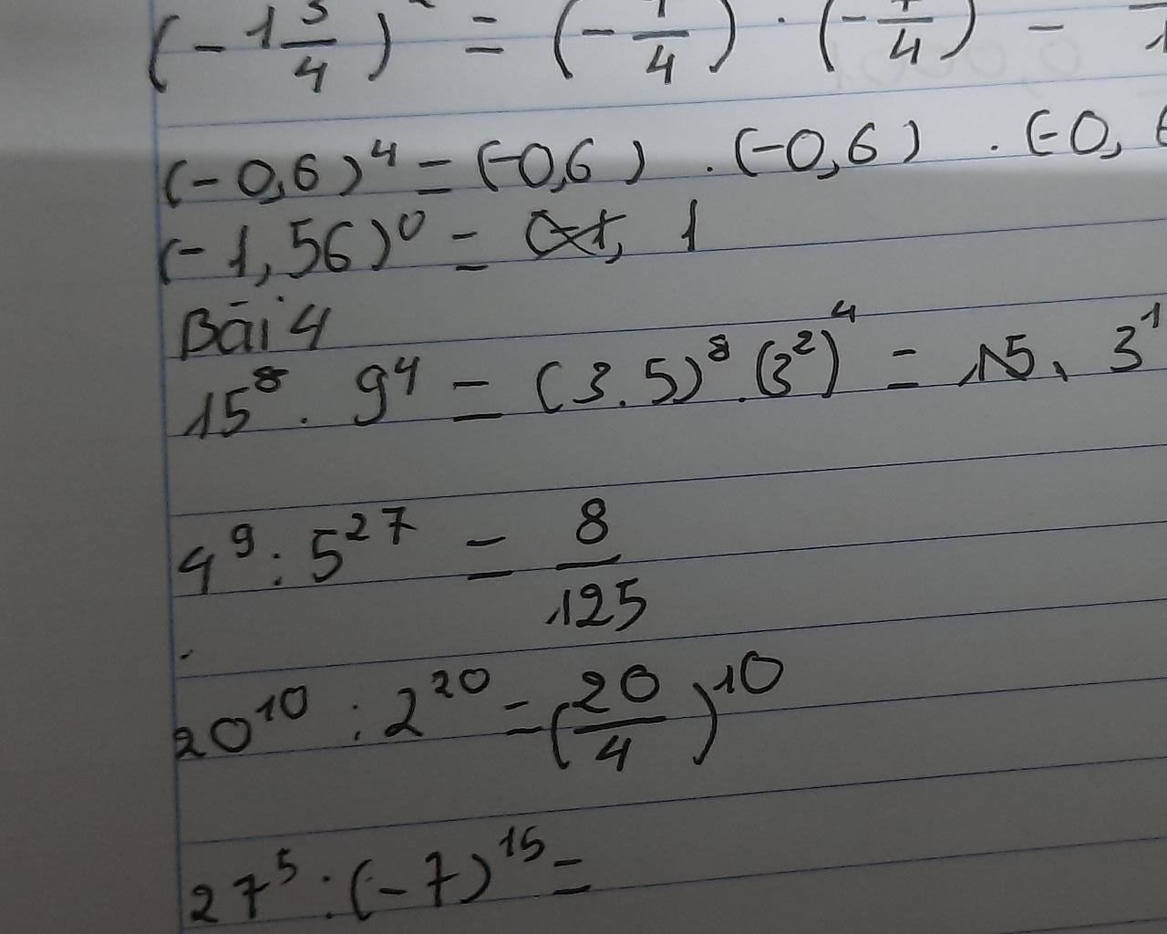
$15^8\cdot 9^4=(3\cdot 5)^8\cdot (3^2)^4=3^8\cdot 5^8\cdot 3^8=(3\cdot 5\cdot 3)^8=45^8$
$4^9:5^{27}=4^9:(5^3)^9=4^9:125^9=(\dfrac4{125})^9$
$20^{10}:2^{20}=20^{10}:(2^2)^{10}=20^{10}:4^{10}=(20:4)^{10}=5^{10}$
$27^5:(-7)^{15}=(3^3)^5:(-7)^{15}=3^{15}:(-7)^{15}=(\dfrac3{-7})^{15}$
Hãy giúp mọi người biết câu trả lời này thế nào?
`ttcolor{orange}{@thuyhien}`
`1)` `15^8 . 9^4`
`= (3 . 5)^8 . (3^2)^4`
`= 3^8 . 5^8 . 3^8`
`= (3 . 5 . 3)^8`
`= 45^8`
`2)` `4^9 : 5^27`
`= 4^9 : (5^3)^9`
`= 4^9 : 125^9`
`= (4 : 125)^9`
`= (4/125)^9`
`3)` `20^10 : 2^20`
`= 20^10 : (2^2)^10`
`= 20^10 : 4^10`
`= (20 : 4)^10`
`= 5^10`
`4)` `27^5 : (-7)^15`
`= (3^2)^5 : (-7)^15`
`= 3^15 : (-7)^15`
`= [3 : (-7)]^15`
`= (-3/7)^15`
Hãy giúp mọi người biết câu trả lời này thế nào?
Bảng tin
1697
33687
2524
chgia ơi cho e một xth đc ko ạ :)