

Hãy luôn nhớ cảm ơn và vote 5*
nếu câu trả lời hữu ích nhé!
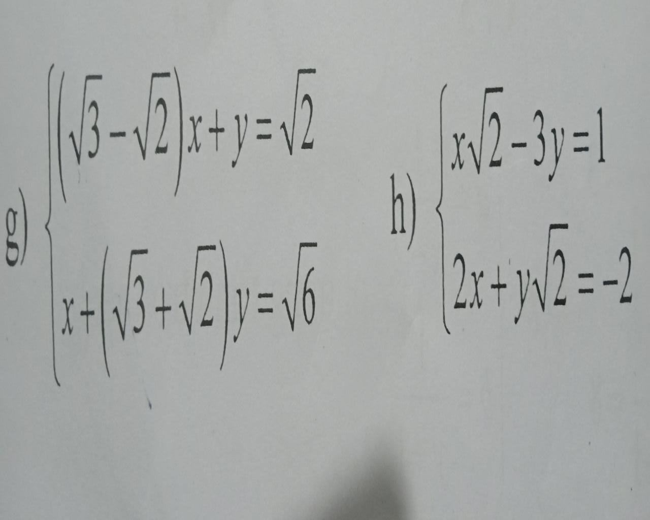
g
$\begin{cases} (\sqrt{3}-\sqrt{2})x+y=\sqrt{2} \quad (1) \\ x+(\sqrt{3}+\sqrt{2})y=\sqrt{6} \quad (2) \end{cases}$
Từ pt (1), ta có $y = \sqrt{2} - (\sqrt{3}-\sqrt{2})x$. (3)
Thế (3) vào (2):
$x + (\sqrt{3}+\sqrt{2})(\sqrt{2} - (\sqrt{3}-\sqrt{2})x) = \sqrt{6}$
$x + (\sqrt{6} + 2 - (\sqrt{3}+\sqrt{2})(\sqrt{3}-\sqrt{2})x) = \sqrt{6}$
$x + \sqrt{6} + 2 - ((\sqrt{3})^2 - (\sqrt{2})^2)x = \sqrt{6}$
$x + \sqrt{6} + 2 - (3-2)x = \sqrt{6}$
$x + \sqrt{6} + 2 - x = \sqrt{6}$
$2 + \sqrt{6} = \sqrt{6}$
$2 = 0$ (vô lý)
Vậy hệ phương trình vô nghiệm.
h
$\begin{cases} x\sqrt{2}-3y=1 \quad (1) \\ 2x+y\sqrt{2}=-2 \quad (2) \end{cases}$
Từ (1), ta có $x\sqrt{2} = 1+3y \Leftrightarrow x = \dfrac{1+3y}{\sqrt{2}}$. (3)
Thế (3) vào pt (2):
$2\left(\dfrac{1+3y}{\sqrt{2}}\right) + y\sqrt{2} = -2$
$\dfrac{2(1+3y)\sqrt{2}}{2} + y\sqrt{2} = -2$
$(1+3y)\sqrt{2} + y\sqrt{2} = -2$
$\sqrt{2} + 3y\sqrt{2} + y\sqrt{2} = -2$
$\sqrt{2} + 4y\sqrt{2} = -2$
$4y\sqrt{2} = -2 - \sqrt{2}$
$y = \dfrac{-2-\sqrt{2}}{4\sqrt{2}} = \dfrac{(-2-\sqrt{2})\sqrt{2}}{4\sqrt{2}\sqrt{2}} = \dfrac{-2\sqrt{2}-2}{4 \cdot 2} = \dfrac{-2\sqrt{2}-2}{8} = \dfrac{-(\sqrt{2}+1)}{4}$
Thế $y = \dfrac{-(\sqrt{2}+1)}{4}$ vào (3):
$x = \dfrac{1+3\left(\dfrac{-(\sqrt{2}+1)}{4}\right)}{\sqrt{2}}$
$x = \dfrac{1 - \dfrac{3\sqrt{2}+3}{4}}{\sqrt{2}}$
$x = \dfrac{\dfrac{4-(3\sqrt{2}+3)}{4}}{\sqrt{2}}$
$x = \dfrac{\dfrac{4-3\sqrt{2}-3}{4}}{\sqrt{2}}$
$x = \dfrac{\dfrac{1-3\sqrt{2}}{4}}{\sqrt{2}}$
$x = \dfrac{1-3\sqrt{2}}{4\sqrt{2}} = \dfrac{(1-3\sqrt{2})\sqrt{2}}{4\sqrt{2}\sqrt{2}} = \dfrac{\sqrt{2}-3 \cdot 2}{4 \cdot 2} = \dfrac{\sqrt{2}-6}{8}$
Vậy nghiệm của HPT là $(x;y) = \left(\dfrac{\sqrt{2}-6}{8}; \dfrac{-(\sqrt{2}+1)}{4}\right)$
Hãy giúp mọi người biết câu trả lời này thế nào?

Giải thích các bước giải:
g.Ta có:
$\begin{cases}(\sqrt3-\sqrt2)x+y=\sqrt2\\ x+(\sqrt3+\sqrt2)y=\sqrt6\end{cases}$
$\to \begin{cases}(\sqrt3-\sqrt2)(\sqrt3+\sqrt2)x+(\sqrt3+\sqrt2)y=\sqrt2(\sqrt3+\sqrt2)\\ x+(\sqrt3+\sqrt2)y=\sqrt6\end{cases}$
$\to \begin{cases}x+(\sqrt3+\sqrt2)y=\sqrt2(\sqrt3+\sqrt2)\\ x+(\sqrt3+\sqrt2)y=\sqrt6\end{cases}$
Mà $\dfrac11=\dfrac{\sqrt3+\sqrt2}{\sqrt3+\sqrt2}\ne \dfrac{\sqrt2(\sqrt3+\sqrt2)}{\sqrt6}$
$\to$Hệ vô nghiệm
h.Ta có:
$\begin{cases}x\sqrt2-3y=1\\2x+y\sqrt2=-2\end{cases}$
$\to \begin{cases}x\sqrt2-3y=1\\\sqrt2x+y=-\sqrt2\end{cases}$
$\to \begin{cases}x\sqrt2-3(-\sqrt2-\sqrt2x)=1\\y=-\sqrt2-\sqrt2x\end{cases}$
$\to \begin{cases}x\sqrt2+3\sqrt2+3\sqrt2x=1\\y=-\sqrt2-\sqrt2x\end{cases}$
$\to \begin{cases}x\sqrt2+3\sqrt2x=1-3\sqrt2\\y=-\sqrt2-\sqrt2x\end{cases}$
$\to \begin{cases}4\sqrt2x=1-3\sqrt2\\y=-\sqrt2-\sqrt2x\end{cases}$
$\to \begin{cases}x=\dfrac{1-3\sqrt2}{4\sqrt2}\\y=\dfrac{-1-\sqrt2}4\end{cases}$
Hãy giúp mọi người biết câu trả lời này thế nào?
Bảng tin