

Hãy luôn nhớ cảm ơn và vote 5*
nếu câu trả lời hữu ích nhé!
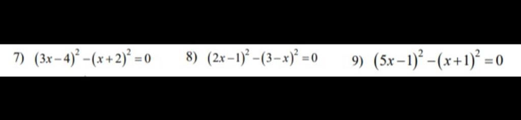
`7,`
`(3x-4)^2 - (x+2)^2 = 0`
`<=> (3x-4-x-2).(3x-4+x+2) = 0`
`<=> (x-6).(4x-2) = 0`
`TH1`
`x-6 = 0`
`x = 6`
TH2`
`4x-2 = 0`
`x = 1/2`
Vậy `x = {6 ; 1/2}`
`8,`
`(2x-1)^2 - (3-x)^2 = 0`
`<=> (2x-1-3+x).(2x-1+3-x) = 0`
`<=> (3x-4).(x + 2) = 0`
`TH1`
`3x-4 = 0`
`x = 4/3`
`TH2`
`x+2 = 0`
`x = -2`
Vậy `x = {4/3 ; -2}`
`9,`
`(5x-1)^2 - (x+1)^2 = 0`
`<=> (5x-1-x-1).(5x-1+x+1) = 0`
`<=> (4x-2).6x = 0`
`TH1`
`4x-2 = 0`
`x = 1/2`
`TH2`
`6x = 0`
`x = 0`
Vậy `x = {1/2 ; 0}`
#Yoshimoto Shizuka
Hãy giúp mọi người biết câu trả lời này thế nào?
`7) (3x - 4)^2 - (x + 2)^2 = 0`
`((3x - 4) - (x + 2))((3x - 4) + (x + 2)) = 0`
`(2x - 6)(4x - 2) = 0`
`2x - 6 = 0` hoặc `4x - 2 = 0`
`x = 3` hoặc `x = 1/2`
`8) (2x - 1)^2 - (3 - x)^2 = 0`
`((2x - 1) - (3 - x))((2x - 1) + (3 - x)) = 0`
`(3x - 4)(x + 2) = 0`
`3x - 4 = 0` hoặc `x + 2 = 0`
`x = 4/3` hoặc `x = -2`
`9) (5x - 1)^2 - (x + 1)^2 = 0`
`((5x - 1) - (x + 1))((5x - 1) + (x + 1)) = 0`
`(4x - 2)(6x) = 0`
`4x - 2 = 0` hoặc `6x = 0`
`x = 1/2` hoặc `x = 0`
`@` Hgg
Hãy giúp mọi người biết câu trả lời này thế nào?
Bảng tin