2)
B =
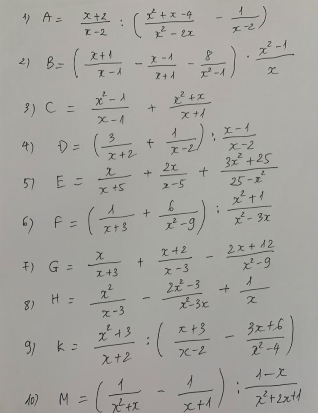
1) A =
x+2
x²+x-4
1
X-2
(즈
x+1
-
X-1
スナイ
x²-1
x²-2x
x-1
8
x-2
x²-1
х
2)
2
3) C =
x²-1
+
X-1
4)
3
x+1
0 = (-2-2 + 1/1/-2): 2-1/2
x+2
2
2x
3x² +25
51
E =
+
+
2
x +5
2-5
25-é
+
x+3
6
i
x²+1
2-9): 727-32
x+2
+
-
2x+12
x²-9
6) F =
7) G =
x
x+3
8) H =
81
لہ
2
x²
:(
x-3
2x²-3
x²-3x
x+3 ...
Xem thêm