

Hãy luôn nhớ cảm ơn và vote 5*
nếu câu trả lời hữu ích nhé!
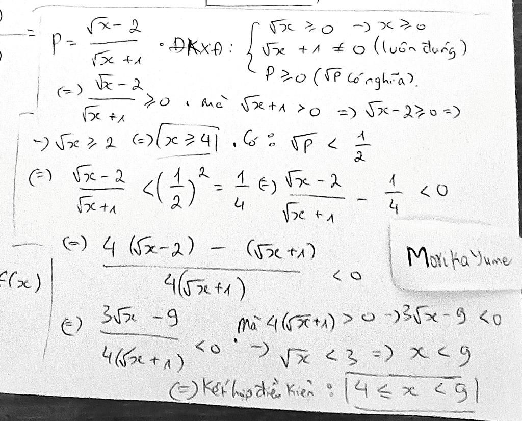
nhận xét:
$\sqrt{x}≥0$
$\sqrt{x}+1>0 $
$\sqrt{P}$ xác định khi và chỉ khi $\frac{\sqrt{x}-2}{\sqrt{x}+1}$≥0
mà:$\sqrt{x}+1>0$
vậy P xác định khi $\sqrt{x}-2$≥0
$\sqrt{x}≥2$
$x≥4$
ta có:P= $\frac{\sqrt{x}-2}{\sqrt{x}+1}$ (x≥4;x≥0)
ta có $\sqrt{P}<\frac{1}2$
$P<\frac{1}4$
`->` $\frac{\sqrt{x}-2}{\sqrt{x}+1}<\frac{1}4$
ta có: 4>0 (hiển nhiên)
$\sqrt{x}+1>0$ (cmt)
`->`$4(\sqrt{x}-2)<\sqrt{x}+1$
`->`$4\sqrt{x}-8<\sqrt{x}+1$
`->`$3\sqrt{x}<9$
`->`$\sqrt{x}<3$
`->`x<9
vậy để $\sqrt{P}<\frac{1}2$ thì x<9;x≥4
vậy 4≤x<9
Hãy giúp mọi người biết câu trả lời này thế nào?
![]()
Bảng tin