

giúp vs ạ nhanh nha cảm ơn mk cần gấp ạ
Hãy luôn nhớ cảm ơn và vote 5*
nếu câu trả lời hữu ích nhé!
Đáp án`+`Giải thích các bước giải:
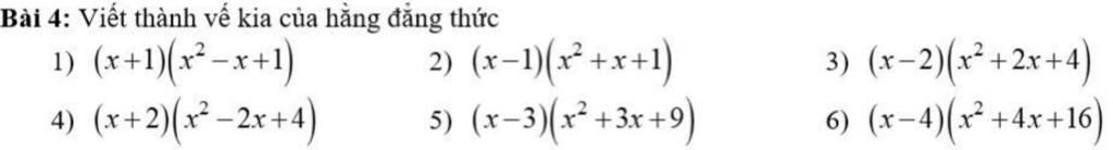
`1, (x + 1)(x^2 -x + 1) =x^3 + 1^3 =x^3 + 1`
`2, (x - 1)(x^2 +x + 1) = x^3 - 1^3 =x^3 -1`
`3, (x - 2)(x^2 + 2x +4) = (x - 2)(x^2 + x.2 + 2^2)= x^3 - 2^3 = x^3 - 8`
`4, (x + 2)(x^2 - 2x+ 4) = (x - 2)(x^2 - x.2 + 2^2) = x^3 + 2^3 =x^3 + 8`
`5, (x - 3)(x^2 + 3x + 9) = (x - 3)(x^2 + x.3 + 3^2) = x^3 - 3^3 = x^3 - 27`
`6, (x -4)(x^2 + 4x + 16) = (x - 4)(x^2 +x.4 +4 ^2) = x^3 - 4^3 = x^3 - 64`
`***`sharksosad
Hãy giúp mọi người biết câu trả lời này thế nào?
Đáp án:
Giải thích các bước giải:
Bài `4` :
`1)`
` ( x + 1 ) ( x^2 - x + 1 ) `
`= ( x + 1 ) ( x^2 - x * 1 + 1^2 ) `
`= x^3 + 1 `
``
`2)`
` ( x - 1 ) ( x^2 + x + 1 ) `
`= ( x - 1 ) ( x^2 + x * 1 + 1^2 ) `
`= x^3 - 1 `
``
`3)`
` ( x - 2 ) ( x^2 + 2x + 4 ) `
`= ( x - 2 ) ( x^2 + x * 2 + 2^2 ) `
`= x^3 - 8 `
``
`4)`
` ( x + 2 ) ( x^2 - 2x + 4 ) `
`= ( x + 2 ) ( x^2 - x * 2 + 2^2 ) `
`= x^3 + 8 `
``
`5)`
` ( x - 3 ) ( x^2 + 3x + 9 ) `
`= ( x - 3 ) ( x^2 - x * 3 + 3^3 ) `
`= x^3 - 27 `
``
`6)`
` ( x - 4 ) ( x^2 + 4x + 16 ) `
`= ( x - 4 ) ( x^2 - x * 4 + 4^2 ) `
`= x^3 - 64`
Hãy giúp mọi người biết câu trả lời này thế nào?
Bảng tin