

Hãy luôn nhớ cảm ơn và vote 5*
nếu câu trả lời hữu ích nhé!
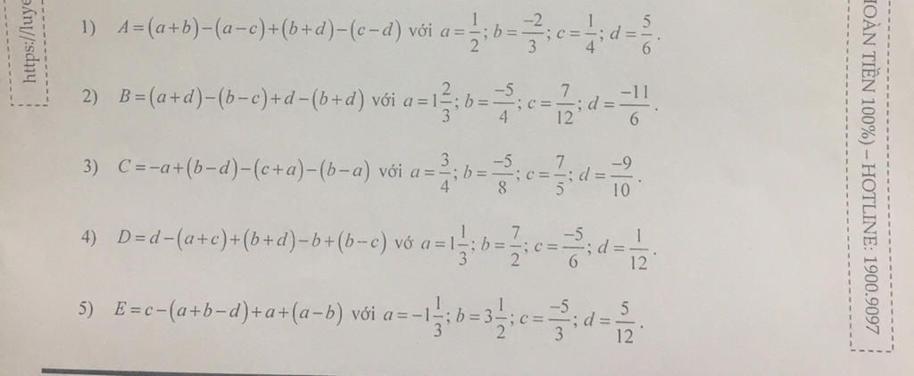
1
$A = (a+b)-(a-c)+(b+d)-(c-d)$
$A = a+b-a+c+b+d-c+d$
$A = (a-a) + (b+b) + (c-c) + (d+d)$
$A = 0 + 2b + 0 + 2d$
$A = 2b+2d$
$A = 2(b+d)$
Thay $a=\dfrac{1}{2}, b=\dfrac{-2}{3}, c=\dfrac{1}{4}, d=\dfrac{5}{6}$ vào $A$:
$A = 2\left(\dfrac{-2}{3} + \dfrac{5}{6}\right)$
$A = 2\left(\dfrac{-4}{6} + \dfrac{5}{6}\right)$
$A = 2\left(\dfrac{1}{6}\right)$
$A = \dfrac{2}{6} = \dfrac{1}{3}$
2) $B = (a+d)-(b-c)+d-(b+d)$
$B = a+d-b+c+d-b-d$
$B = a + (d+d-d) + (-b-b) + c$
$B = a + d - 2b + c$
Thay $a=1\dfrac{2}{3}=\dfrac{5}{3}, b=\dfrac{-5}{4}, c=\dfrac{7}{12}, d=\dfrac{-11}{6}$ vào
$B = \dfrac{5}{3} + \left(\dfrac{-11}{6}\right) - 2\left(\dfrac{-5}{4}\right) + \dfrac{7}{12}$
$B = \dfrac{5}{3} - \dfrac{11}{6} + \dfrac{10}{4} + \dfrac{7}{12}$
$B = \dfrac{20}{12} - \dfrac{22}{12} + \dfrac{30}{12} + \dfrac{7}{12}$
$B = \dfrac{20 - 22 + 30 + 7}{12}$
$B = \dfrac{35}{12}$
3)
$C = -a+(b-d)-(c+a)-(b-a)$
$C = -a+b-d-c-a-b+a$
$C = (-a-a+a) + (b-b) - c - d$
$C = -a - c - d$
Thay $a=\dfrac{3}{4}, b=\dfrac{-5}{8}, c=\dfrac{7}{5}, d=\dfrac{-9}{10}$ vào $C$:
$C = -\dfrac{3}{4} - \dfrac{7}{5} - \left(\dfrac{-9}{10}\right)$
$C = -\dfrac{3}{4} - \dfrac{7}{5} + \dfrac{9}{10}$
$C = \dfrac{-15}{20} - \dfrac{28}{20} + \dfrac{18}{20}$
$C = \dfrac{-15 - 28 + 18}{20}$
$C = \dfrac{-25}{20} = \dfrac{-5}{4}$
4
$D = d-(a+c)+(b+d)-b+(b-c)$
$D = d-a-c+b+d-b+b-c$
$D = (d+d) + (-a) + (-c-c) + (b-b+b)$
$D = 2d - a - 2c + b$
Thay $a=1\dfrac{1}{3}=\dfrac{4}{3}, b=\dfrac{7}{2}, c=\dfrac{-5}{6}, d=\dfrac{1}{12}$ vào
$D = 2\left(\dfrac{1}{12}\right) - \dfrac{4}{3} - 2\left(\dfrac{-5}{6}\right) + \dfrac{7}{2}$
$D = \dfrac{2}{12} - \dfrac{4}{3} + \dfrac{10}{6} + \dfrac{7}{2}$
$D = \dfrac{1}{6} - \dfrac{4}{3} + \dfrac{5}{3} + \dfrac{7}{2}$
$D = \dfrac{1}{6} + \left(\dfrac{5}{3} - \dfrac{4}{3}\right) + \dfrac{7}{2}$
$D = \dfrac{1}{6} + \dfrac{1}{3} + \dfrac{7}{2}$
$D = \dfrac{1}{6} + \dfrac{2}{6} + \dfrac{21}{6}$
$D = \dfrac{1+2+21}{6}$
$D = \dfrac{24}{6}$
$D = 4$
5
$E = c-(a+b-d)+a+(a-b)$
$E = c-a-b+d+a+a-b$
$E = c + (-a+a+a) + (-b-b) + d$
$E = c+a-2b+d$
Thay $a=-1\dfrac{1}{3}=\dfrac{-4}{3}, b=3\dfrac{1}{2}=\dfrac{7}{2}, c=\dfrac{-5}{3}, d=\dfrac{5}{12}$ vào bt $E$:
$E = \dfrac{-5}{3} + \left(\dfrac{-4}{3}\right) - 2\left(\dfrac{7}{2}\right) + \dfrac{5}{12}$
$E = \dfrac{-5}{3} - \dfrac{4}{3} - \dfrac{14}{2} + \dfrac{5}{12}$
$E = \dfrac{-9}{3} - 7 + \dfrac{5}{12}$
$E = -3 - 7 + \dfrac{5}{12}$
$E = -10 + \dfrac{5}{12}$
$E = \dfrac{-120}{12} + \dfrac{5}{12}$
$E = \dfrac{-120+5}{12}$
$E = \dfrac{-115}{12}$
Hãy giúp mọi người biết câu trả lời này thế nào?
Bảng tin