

...........Giúp ạ...........
Hãy luôn nhớ cảm ơn và vote 5*
nếu câu trả lời hữu ích nhé!
Đáp án + Giải thích các bước giải:
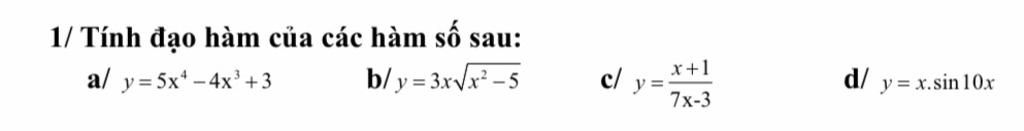
$\textbf{1}\big/$
$\textbf{a}\big/$
$\begin{array}{l} y &= 5x^4 - 4x^3 + 3
\\ y' &= (5x^4)' - (4x^3)' + 0
\\ &= 4 \cdot 5x^3 - 3 \cdot 4x^2
\\ &= 20x^3 - 12x^2 \end {array}$
$\textbf{b}\big/$
$\begin{array}{l} y &= 3x\sqrt{x^2 - 5}
\\ y' &= (3x)'\sqrt{x^2 - 5} + 3x(\sqrt{x^2 - 5})'
\\ &= 3\sqrt{x^2 - 5} + 3x \cdot \dfrac{(x^2 - 5)'}{2\sqrt{x^2 - 5}}
\\ &= 3\sqrt{x^2 - 5} + \dfrac{3x \cdot 2x}{2\sqrt{x^2 - 5}}
\\ &= 3\sqrt{x^2 - 5} + \dfrac{3x^2}{\sqrt{x^2 - 5}}
\\ &= \dfrac{3(x^2 - 5) + 3x^2}{\sqrt{x^2 - 5}}
\\ &= \dfrac{6x^2 - 15}{\sqrt{x^2 - 5}}\end {array}$
$\textbf{c}\big/$
$\begin{array}{l} y &= \dfrac{x + 1}{7x - 3}
\\ y' &= \dfrac{(x + 1)'(7x - 3) - (x + 1)(7x - 3)'}{(7x - 3)^2}
\\ &= \dfrac{7x - 3 - 7(x + 1)}{(7x - 3)^2}
\\ &= \dfrac{-10}{(7x - 3)^2}\end{array}$
$\textbf{d}\big/$
$\begin{array}{l} y &= x \sin 10x
\\ y' &= x' \sin 10x + x(\sin 10x)'
\\ &= \sin 10x + x (10x)' \cos 10x
\\ &= \sin 10x + 10x \cos 10x \end{array}$
Hãy giúp mọi người biết câu trả lời này thế nào?

Đáp án+Giải thích các bước giải:
`1)`
`a)y=5x^{4}-4x^{3}+3` (Tập xác định: `D=RR`)
`->y'=(5x^{4})'-(4x^{3})'+3'`
`->y'=4.5x^{3}-3.4x^{2}+0`
`->y'=20x^{3}-12x^{2}`
Vậy `y'=20x^{3}-12x^{2}`
`b)y=3x\sqrt{x^{2}-5}` (Tập xác định: `D=(-\infty;-\sqrt{5}]\cup[\sqrt{5};+\infty)`)
`->y'=(3x)'. \sqrt{x^{2}-5}+3x.(\sqrt{x^{2}-5})'`
`->y'=3\sqrt{x^{2}-5}+3x.\frac{(x^{2}-5)'}{2\sqrt{x^{2}-5}}`
`->y'=3\sqrt{x^{2}-5}+\frac{3x.2x}{2\sqrt{x^{2}-5}}`
`->y'=3\sqrt{x^{2}-5}+\frac{3x^{2}}{\sqrt{x^{2}-5}}`
`->y'=\frac{3\sqrt{x^{2}-5}.\sqrt{x^{2}-5}+3x^{2}}{\sqrt{x^{2}-5}}`
`->y'=\frac{3.(x^{2}-5)+3x^{2}}{\sqrt{x^{2}-5}}`
`->y'=\frac{3x^{2}+3x^{2}-15}{\sqrt{x^{2}-5}}`
`->y'=\frac{6x^{2}-15}{\sqrt{x^{2}-5}}`
Vậy `y'=\frac{6x^{2}-15}{\sqrt{x^{2}-5}}`
`c)` `y=\frac{x+1}{7x-3}` (Tập xác định: `D=RR\\{3/7}`)
Cách `1:`
`->y'=\frac{1.(-3)-1.7}{(7x-3)^{2}}`
`->y'=\frac{-3-7}{(7x-3)^{2}}`
`->y'=\frac{-10}{(7x-3)^{2}}`
Áp dụng: `y=\frac{ax+b}{cx+d}(đk : x\ne -d/c)->y'=\frac{a.d-b.c}{(cx+d)^{2}}`
Cách `2:`
`->y'=\frac{(x+1)'.(7x-3)-(x+1).(7x-3)'}{(7x-3)^{2}}`
`->y'=\frac{1.(7x-3)-(x+1).7}{(7x-3)^{2}}`
`->y'=\frac{7x-3-7x-7}{(7x-3)^{2}}`
`->y'=\frac{-10}{(7x-3)^{2}}`
Vậy `y'=\frac{-10}{(7x-3)^{2}}`
`d)y=xsin10x`
`->y'=x'. sin10x+x. (sin10x)`
`->y'=1.sin10x+x.(10x)'.cos10x`
`->y'=sin10x+10xcos10x`
Vậy `y'=sin10x+10xcos10x`
Hãy giúp mọi người biết câu trả lời này thế nào?
Bảng tin