

Hãy luôn nhớ cảm ơn và vote 5*
nếu câu trả lời hữu ích nhé!

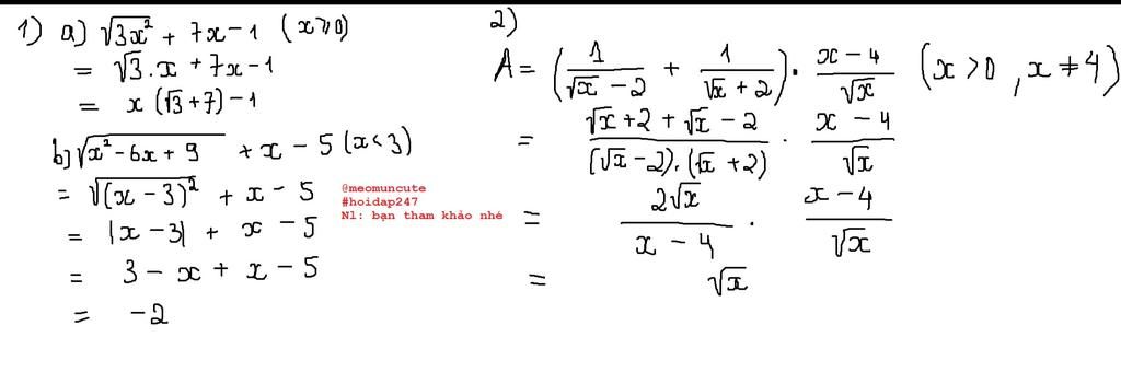
Giải thích các bước giải:
Bài 1:
a.Ta có:
$\sqrt{3x^2}+7x-1$
$=x\sqrt3+7x-1$ vì $x\ge 0$
$=(\sqrt3+7)x-1$
b.Ta có:
$\sqrt{x^2-6x+9}+x-5$
$=\sqrt{(x-3)^2}+x-5$
$=-(x-3)+x-5$ vì $x<3\to x-3<0$
$=-2$
Bài 2:
Ta có:
$A=(\dfrac1{\sqrt{x}-2}+\dfrac1{\sqrt{x}+2})\cdot \dfrac{x-4}{\sqrt{x}}$
$\to A=\dfrac{\sqrt{x}+2+\sqrt{x}-2}{(\sqrt{x}+2)(\sqrt{x}-2)}\cdot\dfrac{(\sqrt{x}+2)(\sqrt{x}-2)}{\sqrt{x}}$
$\to A=\dfrac{2\sqrt{x}}{(\sqrt{x}+2)(\sqrt{x}-2)}\cdot\dfrac{(\sqrt{x}+2)(\sqrt{x}-2)}{\sqrt{x}}$
$\to A=2$
Hãy giúp mọi người biết câu trả lời này thế nào?

Bảng tin