Đăng nhập để hỏi chi tiết


Hãy luôn nhớ cảm ơn và vote 5*
nếu câu trả lời hữu ích nhé!
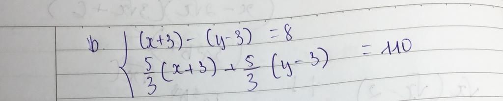
`b) {((x+3)-(y-3)=8),(5/3(x+3)+5/3(y-3)=110):}`
`{(x+3-y+3=8),(5/3x+5+5/3y-5=110):}`
`{(x-y+6=8),(5/3x+5/3y=110):}`
`{(x-y=2),(5x+5y=330):}`
`{(5x-5y=10),(5x+5y=330):}`
`{(10x=340),(x-y=2):}`
`{(x=34),(y=32):}`
Vậy hệ phương trình có nghiệm là `(x;y)=(34;32)`
Hãy giúp mọi người biết câu trả lời này thế nào?
![]()
Bảng tin