

Hãy luôn nhớ cảm ơn và vote 5*
nếu câu trả lời hữu ích nhé!
Giải thích các bước giải:
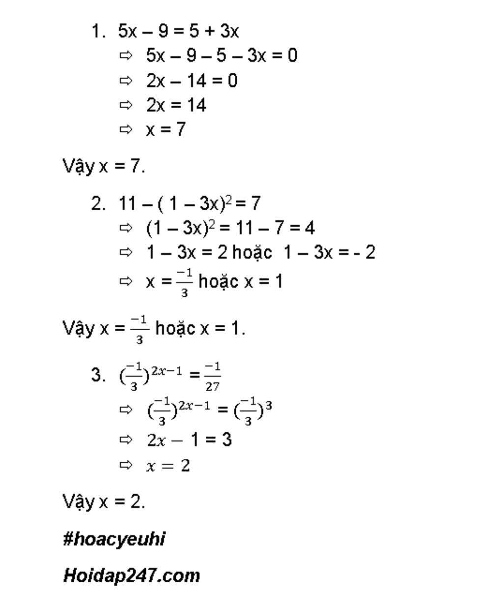
1. 5x - 9 = 5 + 3x`
`5x - 3x = 5 + 9`
`2x = 14`
`x = 14 : 2`
`x = 7`
Vậy, `x = 7`
`-----`
11 - ( 1 - 3x )^2 = 7`
`( 1 - 3x )^2 = 11 - 7`
`( 1 - 3x )^2 = 4`
`( 1 - 3x )^2 = (+-2)^2`
`TH_1: 1 - 3x = 2`
`3x = -1`
`x = -1/3`
`TH_2: 1 - 3x = -2`
`3x = 3`
`x = 1`
Vậy, `x ∈ { -1/3; 1 }`
`-----`
`( -1/3)^(2x - 1) = (-1/27)`
`( -1/3)^(2x - 1 ) = (-1/3)^3`
`2x - 1 = 3`
`2x = 4`
`x = 2`
Vậy, `x = 2`
`#tm`
Hãy giúp mọi người biết câu trả lời này thế nào?
Bảng tin