

Hãy luôn nhớ cảm ơn và vote 5*
nếu câu trả lời hữu ích nhé!
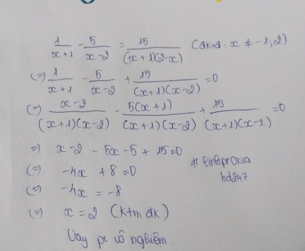
$\frac{1}{x+1}$ - $\frac{5}{x-2}$ = $\frac{15}{(x+1)(2-x)}$ (ĐKXĐ: x $\neq$ -1; x $\neq$ 2)
$\frac{1}{x+1}$ + $\frac{5}{2-x}$ = $\frac{15}{(x+1)(2-x)}$
$\frac{2-x}{(x+1)(2-x)}$ + $\frac{5(x+1)}{(x+1)(2-x)}$ = $\frac{15}{(x+1)(2-x)}$
$\frac{2-x+5x+5}{(x+1)(2-x)}$ = $\frac{15}{(x+1)(2-x)}$
2 - x + 5x + 5 = 15
7 + 4x = 15
4x = 15 - 7
4x = 8
x = 8 : 4
x = 2 (KTM)
Vậy phương trình vô nghiệm
Hãy giúp mọi người biết câu trả lời này thế nào?
`color{#FFC0CB}{n} color{#FF69B4}{c} color{#FF1493}{t}`
Hãy giúp mọi người biết câu trả lời này thế nào?
Bảng tin