

Hãy luôn nhớ cảm ơn và vote 5*
nếu câu trả lời hữu ích nhé!
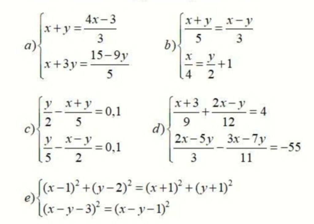
a
$\begin{cases} x+y = \dfrac{4x-3}{3} \\ x+3y = \dfrac{15-9y}{5} \end{cases}$
$\Leftrightarrow \begin{cases} 3(x+y) = 4x-3 \\ 5(x+3y) = 15-9y \end{cases}$
$\Leftrightarrow \begin{cases} 3x+3y = 4x-3 \\ 5x+15y = 15-9y \end{cases}$
$\Leftrightarrow \begin{cases} 3x-4x+3y = -3 \\ 5x+15y+9y = 15 \end{cases}$
$\Leftrightarrow \begin{cases} -x+3y = -3 \\ 5x+24y = 15 \end{cases}$
$\Leftrightarrow \begin{cases} x-3y = 3 \\ 5x+24y = 15 \end{cases}$
$\Leftrightarrow \begin{cases} 5x-15y = 15 \\ 5x+24y = 15 \end{cases}$
$\Leftrightarrow \begin{cases} (5x+24y)-(5x-15y) = 15-15 \\ x-3y = 3 \end{cases}$
$\Leftrightarrow \begin{cases} 39y = 0 \\ x-3y = 3 \end{cases}$
$\Leftrightarrow \begin{cases} y = 0 \\ x-3(0) = 3 \end{cases}$
$\Leftrightarrow \begin{cases} y = 0 \\ x = 3 \end{cases}$
Vậy nghiệm của hệ phương trình là $(x; y) = (3; 0)$.
b)
$\begin{cases} \dfrac{x+y}{5} = \dfrac{x-y}{3} \\ \dfrac{x}{4} = \dfrac{y}{2}+1 \end{cases}$
$\Leftrightarrow \begin{cases} 3(x+y) = 5(x-y) \\ x = 2y+4 \end{cases}$
$\Leftrightarrow \begin{cases} 3x+3y = 5x-5y \\ x = 2y+4 \end{cases}$
$\Leftrightarrow \begin{cases} -2x+8y = 0 \\ x = 2y+4 \end{cases}$
$\Leftrightarrow \begin{cases} -x+4y = 0 \\ x = 2y+4 \end{cases}$
$\Leftrightarrow \begin{cases} -(2y+4)+4y = 0 \\ x = 2y+4 \end{cases}$
$\Leftrightarrow \begin{cases} -2y-4+4y = 0 \\ x = 2y+4 \end{cases}$
$\Leftrightarrow \begin{cases} 2y = 4 \\ x = 2y+4 \end{cases}$
$\Leftrightarrow \begin{cases} y = 2 \\ x = 2(2)+4 \end{cases}$
$\Leftrightarrow \begin{cases} y = 2 \\ x = 8 \end{cases}$
Vậy ............
c
$\begin{cases} \dfrac{y}{2} - \dfrac{x+y}{5} = 0,1 \\ \dfrac{y}{5} - \dfrac{x-y}{2} = 0,1 \end{cases}$
$\Leftrightarrow \begin{cases} \dfrac{y}{2} - \dfrac{x+y}{5} = \dfrac{1}{10} \\ \dfrac{y}{5} - \dfrac{x-y}{2} = \dfrac{1}{10} \end{cases}$
$\Leftrightarrow \begin{cases} 5y - 2(x+y) = 1 \\ 2y - 5(x-y) = 1 \end{cases}$
$\Leftrightarrow \begin{cases} 5y - 2x - 2y = 1 \\ 2y - 5x + 5y = 1 \end{cases}$
$\Leftrightarrow \begin{cases} -2x + 3y = 1 \\ -5x + 7y = 1 \end{cases}$
$\Leftrightarrow \begin{cases} -10x + 15y = 5 \\ -10x + 14y = 2 \end{cases}$
$\Leftrightarrow \begin{cases} (-10x+15y) - (-10x+14y) = 5-2 \\ -2x+3y = 1 \end{cases}$
$\Leftrightarrow \begin{cases} y = 3 \\ -2x + 3(3) = 1 \end{cases}$
$\Leftrightarrow \begin{cases} y = 3 \\ -2x + 9 = 1 \end{cases}$
$\Leftrightarrow \begin{cases} y = 3 \\ -2x = -8 \end{cases}$
$\Leftrightarrow \begin{cases} y = 3 \\ x = 4 \end{cases}$
Vậy no của hệ là $(x; y) = (4; 3)$.
d
$\begin{cases} \dfrac{x+3}{9} + \dfrac{2x-y}{12} = 4 \\ \dfrac{2x-5y}{3} - \dfrac{3x-7y}{11} = -55 \end{cases}$
$\Leftrightarrow \begin{cases} 4(x+3) + 3(2x-y) = 4 \cdot 36 \\ 11(2x-5y) - 3(3x-7y) = -55 \cdot 33 \end{cases}$
$\Leftrightarrow \begin{cases} 4x+12 + 6x-3y = 144 \\ 22x-55y - 9x+21y = -1815 \end{cases}$
$\Leftrightarrow \begin{cases} 10x-3y = 132 \\ 13x-34y = -1815 \end{cases}$
$\Leftrightarrow \begin{cases} 340x-102y = 4488 \\ 39x-102y = -5445 \end{cases}$
$\Leftrightarrow \begin{cases} (340x-102y) - (39x-102y) = 4488 - (-5445) \\ 10x-3y = 132 \end{cases}$
$\Leftrightarrow \begin{cases} 301x = 9933 \\ 10x-3y = 132 \end{cases}$
$\Leftrightarrow \begin{cases} x = 33 \\ 10(33)-3y = 132 \end{cases}$
$\Leftrightarrow \begin{cases} x = 33 \\ 330-3y = 132 \end{cases}$
$\Leftrightarrow \begin{cases} x = 33 \\ -3y = 132-330 \end{cases}$
$\Leftrightarrow \begin{cases} x = 33 \\ -3y = -198 \end{cases}$
$\Leftrightarrow \begin{cases} x = 33 \\ y = 66 \end{cases}$
Vậy............
e
$\begin{cases} (x-1)^2 + (y-2)^2 = (x+1)^2 + (y+1)^2 \\ (x-y-3)^2 = (x-y-1)^2 \end{cases}$
$\Leftrightarrow \begin{cases} x^2-2x+1 + y^2-4y+4 = x^2+2x+1 + y^2+2y+1 \\ (x-y-3)^2 - (x-y-1)^2 = 0 \end{cases}$
$\Leftrightarrow \begin{cases} -2x-4y+5 = 2x+2y+2 \\ (x-y-3 - (x-y-1))(x-y-3 + x-y-1) = 0 \end{cases}$
$\Leftrightarrow \begin{cases} -2x-2x-4y-2y = 2-5 \\ (-2)(2x-2y-4) = 0 \end{cases}$
$\Leftrightarrow \begin{cases} -4x-6y = -3 \\ -4x+4y+8 = 0 \end{cases}$
$\Leftrightarrow \begin{cases} 4x+6y = 3 \\ -4x+4y = -8 \end{cases}$
$\Leftrightarrow \begin{cases} (4x+6y)+(-4x+4y) = 3+(-8) \\ 4x+6y = 3 \end{cases}$
$\Leftrightarrow \begin{cases} 10y = -5 \\ 4x+6y = 3 \end{cases}$
$\Leftrightarrow \begin{cases} y = -\dfrac{1}{2} \\ 4x+6\left(-\dfrac{1}{2}\right) = 3 \end{cases}$
$\Leftrightarrow \begin{cases} y = -\dfrac{1}{2} \\ 4x-3 = 3 \end{cases}$
$\Leftrightarrow \begin{cases} y = -\dfrac{1}{2} \\ 4x = 6 \end{cases}$
$\Leftrightarrow \begin{cases} y = -\dfrac{1}{2} \\ x = \dfrac{3}{2} \end{cases}$
Vậy ni của hệ $(x; y) = \left(\dfrac{3}{2}; -\dfrac{1}{2}\right)$
Hãy giúp mọi người biết câu trả lời này thế nào?
Bảng tin