

Hãy luôn nhớ cảm ơn và vote 5*
nếu câu trả lời hữu ích nhé!
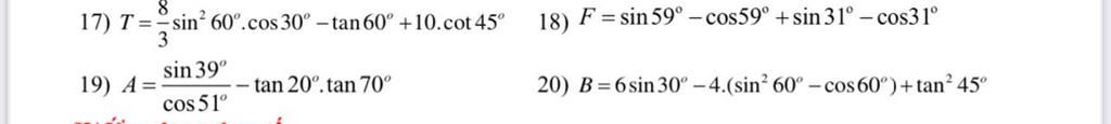
17
$T = \dfrac{8}{3}\sin^2 60^{\circ} \cdot \cos 30^{\circ} - \tan 60^{\circ} + 10 \cdot \cot 45^{\circ}$
$T = \dfrac{8}{3} \cdot \left(\dfrac{\sqrt{3}}{2}\right)^2 \cdot \dfrac{\sqrt{3}}{2} - \sqrt{3} + 10 \cdot 1$
$T = \dfrac{8}{3} \cdot \dfrac{3}{4} \cdot \dfrac{\sqrt{3}}{2} - \sqrt{3} + 10$
$T = \dfrac{2 \cdot \sqrt{3}}{2} - \sqrt{3} + 10$
$T = \sqrt{3} - \sqrt{3} + 10$
$T = 0 + 10$
$T = 10$
18
$F = \sin 59^{\circ} - \cos 59^{\circ} + \sin 31^{\circ} - \cos 31^{\circ}$
Ta có: $\cos 59^{\circ} = \sin (90^{\circ} - 59^{\circ}) = \sin 31^{\circ}$
$\sin 59^{\circ} = \cos (90^{\circ} - 59^{\circ}) = \cos 31^{\circ}$
$F = \cos 31^{\circ} - \sin 31^{\circ} + \sin 31^{\circ} - \cos 31^{\circ}$
$F = (\cos 31^{\circ} - \cos 31^{\circ}) + (-\sin 31^{\circ} + \sin 31^{\circ})$
$F = 0 + 0$
$F = 0$
19
$A = \dfrac{\sin 39^{\circ}}{\cos 51^{\circ}} - \tan 20^{\circ} \cdot \tan 70^{\circ}$
Ta có: $\cos 51^{\circ} = \sin (90^{\circ} - 51^{\circ}) = \sin 39^{\circ}$
$\tan 70^{\circ} = \cot (90^{\circ} - 70^{\circ}) = \cot 20^{\circ}$
$A = \dfrac{\sin 39^{\circ}}{\sin 39^{\circ}} - \tan 20^{\circ} \cdot \cot 20^{\circ}$
$A = 1 - 1$
$A = 0$
20,
$B = 6\sin 30^{\circ} - 4(\sin^2 60^{\circ} - \cos 60^{\circ}) + \tan^2 45^{\circ}$
$B = 6 \cdot \dfrac{1}{2} - 4\left(\left(\dfrac{\sqrt{3}}{2}\right)^2 - \dfrac{1}{2}\right) + 1^2$
$B = 3 - 4\left(\dfrac{3}{4} - \dfrac{1}{2}\right) + 1$
$B = 3 - 4\left(\dfrac{3}{4} - \dfrac{2}{4}\right) + 1$
$B = 3 - 4\left(\dfrac{1}{4}\right) + 1$
$B = 3 - 1 + 1$
$B = 3$
Hãy giúp mọi người biết câu trả lời này thế nào?
17)
$ T = \frac{8}{3}\sin^2{60^\circ}\cos{30^\circ} - \tan{60^\circ} + 10\cot{45^\circ} $
$ T = \frac{8}{3} \cdot \left(\frac{\sqrt{3}}{2}\right)^2 \cdot \frac{\sqrt{3}}{2} - \sqrt{3} + 10 \cdot 1 $
$ T = \frac{8}{3} \cdot \frac{3}{4} \cdot \frac{\sqrt{3}}{2} - \sqrt{3} + 10 $
$ T = \sqrt{3} - \sqrt{3} + 10 $
$ T = 10 $
18)
$ F = \sin{59^\circ} - \cos{59^\circ} + \sin{31^\circ} - \cos{31^\circ} $
$ F = \cos{31^\circ} - \sin{31^\circ} + \sin{31^\circ} - \cos{31^\circ} $
$ F = (\cos{31^\circ} - \cos{31^\circ}) + (-\sin{31^\circ} + \sin{31^\circ}) $
$ F = 0 $
19)
$ A = \frac{\sin{39^\circ}}{\cos{51^\circ}} - \tan{20^\circ} \cdot \tan{70^\circ} $
$ A = \frac{\cos{51^\circ}}{\cos{51^\circ}} - \tan{20^\circ} \cdot \cot{20^\circ} $
$ A = 1 - 1 $
$ A = 0 $
20)
$ B = 6\sin{30^\circ} - 4(\sin^2{60^\circ} - \cos{60^\circ}) + \tan^2{45^\circ} $
$ B = 6 \cdot \frac{1}{2} - 4\left(\left(\frac{\sqrt{3}}{2}\right)^2 - \frac{1}{2}\right) + 1^2 $
$ B = 3 - 4\left(\frac{3}{4} - \frac{2}{4}\right) + 1 $
$ B = 3 - 4\left(\frac{1}{4}\right) + 1 $
$ B = 3 - 1 + 1 $
$ B = 3 $
Hãy giúp mọi người biết câu trả lời này thế nào?
Bảng tin